Examining Integers on a Number Lines:
Integers are the numbers that belong to the set {... , -3, -2, -1, 0, 1, 2, 3, ...}.

bullet Plotting Integers on the Number Line:
Plot 4 on a number line and indicate the location of its opposite.
integerLine4

The integer 4, and its opposite (-4), are each four units from zero.

dividerdash


bullet Order of Integers on the Number Line:

numberline
Observations:
• As you move from left to right on a number line, the number values get larger.
      -9 < -4          -4 < 0          0 < 4            4 < 7
The numbers are getting bigger as you move to the right.                         

• Positive numbers are always larger than negative numbers.

• Zero is less than a positive number, but greater than a negative number.

• As you move from right to left on a number line, the number values get smaller.
      7 > 4            4 > 0            0 > -4          -4 > -9
The numbers are getting smaller as you move to the left.

Hint: When determining which of two negative numbers is larger (or smaller), picture them on the number line. The number to the right will be larger. The number to the left will be smaller.

When interpreting an inequality, look at the positions of the numbers on the number line.


dividerdash

Examining Rationals on a Number Lines:
Rationals are the set of numbers that are fractions whose numerators and denominators are integers (no denominators of zero). This set includes terminating and repeating decimals which can be expressed as fractions.

All of the situations shown above, regarding integers, will also apply to rational numbers. Remember that the rational numbers include the integers. Rationals, however, open the door for more types of numbers to also be examined. All rational numbers have their place on the number line. Number lines may be divided into fractional parts, or into decimal parts, to show locations of rational numbers.

bullet Plotting Rationals on the Number Line:
ex1 Plot 35 on a number line and indicate the location of its opposite.
35LINE

Notice how the interval was divided into fractional parts that were the same denominator as that of the desired fraction to be plotted.

Just as was done with integers, the opposite of the fraction
is the same distance in the opposite direction from zero.

We can see from the number line that 35 is between 0 and 1,
and its opposite is between 0 and -1.

dividerdash

ex2 Plot 1.4 on a number line and indicate the location of its opposite.

14line

dividerdash

ex3 Plot 4.5 and 9.2 on a number line and indicate the location of their opposites. Then determine the distance between 9.2 and the opposite of 4.5.

If your number line is not subdivided into fractional parts, or decimal parts, you may have to make your best approximation as to where the points will lie (between the markings on the number line you are given). See the plotting below.92line
The difference between 9.2 and the opposite of 4.5 (which is -4.5) is 13.7.
Absolute value can be used to find this number line distance.
The distance between values a and b is | a - b | or | b - a |.
In this problem, we have | 9.2 - -4.5 | = | 13.7 | = 13.7,
or we could have | -4.5 - 9.2 | = | -13.7 | = 13.7.

dividerdash

bullet Ordering Rational Numbers:
The process of ordering rational numbers is the same as that of integer values. You are comparing numbers to determine which value is larger. Plot both values on a number line and see which value is farthest to the right. That will be the larger of the two values.

us
The answer is NO. On the number line we can see that
-1/5 is farther to the right, making it the larger value.
15line

Because rational numbers can be written in several different forms, it can sometimes be challenging to determine the order of the numbers.

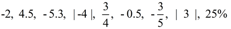
Order the following list of rational numbers from least to greatest.

ratOrder

It will be difficult to decide upon a scale for a number line, since this list of numbers is a combination of integers, fractions, decimals and percents. It will be easier in this situation to convert the numbers to one "form" to determine the order.

The easiest way to order rational numbers,
is to covert them all to decimals.

star Absolute value is a distance from zero on a number line and is always positive (or zero).
Replace the absolute value quantities with their equivalence.
a3

star To change a fraction to a decimal, divide the numerator by the denominator.
Convert the fractions to decimals.
newfracs

star To change a percent to a decimal, move the decimal point two places to the left.
Convert % to decimal.
a5

Substitute the equivalent expressions into the original problem.

a6

star Negative numbers are always less than positive numbers.
Push the negative values to the left, and push the positive values to the right.

a7

star Arrange the negative numbers in order, and then the positive numbers in order, from least to greatest.

a10

star Convert back to original listings.

a11

star Now that we know how these numbers are "related" to one another (in their decimal forms), let's put them on a number line. The number line is not required in the answer to this question.

aLine

a23


divider

NOTE: The re-posting of materials (in part or whole) from this site to the Internet is copyright violation
and is not considered "fair use" for educators. Please read the "Terms of Use".