"Simplifying" does not mean approximating.
"Simplifying" does not mean using your calculator to obtain a decimal estimate.
Simplify means to find another expression with the same value.

We have seen radical values which can be simplified:radsimp
Are there other radical values which can be written in a simpler form?

Yes. There are square root values and cube root values which can be written in an equivalent form which is easier to understand (simplified). The process will depend upon the use of perfect squares and perfect cubes.

dividerdash

bullet Simplifying Square Root Values: radparts
statement
A square root is in simplest form when
1. the radicand contains no perfect square factors
2. the radicand is not a fraction
3. there are no radicals in the denominator of a fraction.

expin1 rn ex1

1. Find the largest perfect square factor (the largest perfect square that divides into 48 with no remainder). You need to be familiar with the list of perfect squares.
                        rad16
2. Give each factor its own radical symbol. 16a

3. Reduce the "perfect square" radical that was created.
                       16b

4. ANSWER: 16c

Don't worry if you do not pick the LARGEST perfect square factor to start. You can still get the correct answer, but you will have to repeat the process. See what happens if we choose 4 instead of 16 to start:
         radworry
Notice how the out-front 2 in the second line is multiplied along for the rest of the problem.


expin2
rad23

The number 23 cannot be factored by any of the perfect squares (23 is prime). This is a trick question as it is already in simplest form and cannot be reduced further.
If the number under the radical cannot be divided evenly by any of the perfect squares, your radical is already in simplest form and cannot be reduced further.

expin3 ex2 rn
1. Give the numerator and denominator their own radical symbols.                                              radsimp3

2. Multiply the numerator and denominator by a radical that will get rid of the radical in the denominator, by creating a perfect square under the radical. If a smaller value cannot be found, multiply by the same radical value that is in the denominator, automatically creating a perfect square. 
                rad simp3bb   ans2

This process of removing a radical from the denominator is referred to as "rationalizing the denominator" because it turns the denominator into a rational (not irrational) value.


expin4
rad 6 r 72

                    rad ex4

dividerdash


bullet Let's see how this approach works with Cube Roots:

expin5 rn ex3

1. Find the largest perfect cube factor(the largest perfect cube that divides into 24 with no remainder).
                       ex3 pic a
2. Give each factor its own radical symbol. ex3a

3. Reduce the "perfect cube" radical that was created.
                      ex3b


4.
ANSWER: ex3ans

Perfect Squares
4 = 2 x 2
9 = 3 x 3
16 = 4 x 4
25 = 5 x 5
36 = 6 x 6
49 = 7 x 7
64 = 8 x 8
81 = 9 x 9
100 = 10 x 10
121 = 11 x 11
144 = 12 x 12
169 = 13 x 13
196 = 14 x 14
225 = 15 x 15

Remember:

When working with radicals, the term "simplify" means to find an equivalent expression.

It does not mean to find a decimal approximation.


Prime Factorization

Radicals can also be simplified by expressing the radicand using prime factorization and looking for groups of two similar factors to form a perfect square factor.


radprime

Product Rule

radthm
where a ≥ 0, b≥ 0

"The square root of a product is equal to the product of the square roots of each factor."

This theorem allows us to use our method of simplifying radicals.


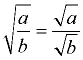
Quotient Rule

radquotrule
where a ≥ 0, b > 0

"The square root of a quotient is equal to the quotient of the square roots of the numerator and denominator."


ti84c
For calculator help with radicals
click here.
simpguy
Perfect Cubes
8 = 2 x 2 x 2
27 = 3 x 3 x 3
64 = 4 x 4 x 4
125 = 5 x 5 x 5

Cube Roots
21
22
23
24

Cube Root Notation
rad cube pic
Remember when working with cube roots to ALWAYS write the index value of 3.
divider

NOTE: The re-posting of materials (in part or whole) from this site to the Internet is copyright violation
and is not considered "fair use" for educators. Please read the "Terms of Use".