Directions: Answer these questions pertaining to the simplifying of radicals. Check your answer when finished.
1.
|
Expression: |
True or False |
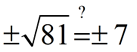
a. |
|
|
b. |
|
|
c. |
|
|
d. |
|
|
|
2. |
Expression: |
True or False |
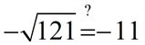
a. |
|
|
b. |
|
|
c. |
|
|
d. |
|
|
|
3. |
Expression: |
True or False |
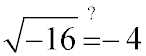
a. |
|
|
b. |
|
|
c. |
|
|
d. |
|
|
|
4.
|
Expression: |
True or False |
a. |
|
|
b. |
|
|
c. |
|
|
d. |
|
|
|
Directions: Answer these questions pertaining to the simplifying of radicals. Check your answer when finished. Choose the best answer.
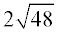
5. |
Simplify . |
|
|
|
6. |
Which of the following cannot be simplified? |
|
|
|
7. |
Which of the following is not equivalent to ? |
|
|
|
8. |
Which of the following is true? |
|
|
|
9. |
Simplify . |
|
|
|
10. |
Simplify . |
|
|
|

NOTE: The re-posting of materials (in part or whole) from this site to the Internet
is copyright violation
and is not considered "fair use" for educators. Please read the "Terms of Use". |
|