dmonster2
  Rules for Dividing fractions:
1. Flip the second term over (this is now the reciprocal)
2. Multiply the first fraction time this reciprocal.
3. Simplify the fraction, if possible.

Division

Like multiplying, division of fractions is easy!!
To divide two fractions, you start by fliping over the second fraction
(the one you are dividing by).
Then you muliply the first fraction by this flipped over fraction.
Simplify the answer if needed.


definition
The reciprocal of a fraction is just switching the numerator
(top number) and the denominator (bottom number).
"Reciprocal" is the name given to the flipped over fraction.

bullet Division examples:
1. Whole number divided by fraction:
     de1b 
2. Fraction divided by a whole number:
      de2b

3. Fraction divided by fractions:
   de3  
4. Fraction divided by mixed number:
Remember to change the mixed number to an improper fraction so you will be able to find the reciprocal.
   561   
5. Mixed number divided by mixed number:
     258
6. Mixed numbers divided by a whole number:
   737  


bullet Word Problem with Division of Fractions:
Blake is emptying a 234 gallon jug of maple syrup into18gallon containers.
How many containers can be filled from the 234 gallon jug?

syrupANS

dividerdash

Visualizing Division

(First an easy one, and then a harder one.)


334

Note: 312


Answer:fd10a

We are going to translate this problem as:
"How many 34b sections can be created from 32?"

fd10



4253

"How many 23 sections can
be created
from 45?"


Answer:421

 

We are going to translate this problem as:
"How many 23 sections can be created from 45?"

Draw a representation of 4/5 by creating 5 equal vertical sections with 4 shaded. Draw a representation of 2/3 by creating 3 equal horizontal sections with 2 shaded. Transfer the horizontal sections to the first rectangle and the vertical sections to the second rectangle. This establishes equally sized sections in each diagram.fd20
We can circle one 10-block section in the 4/5 shading with 2 blocks left over. Notice that we have two 1/15 sections remaining.
beware
We need to ask "what part of a 2/3 section are these 2 remaining sections?"
What part of 10 is 2?   It is 2/10 or 1/5.
ANSWER:115

dividerdash

Division of Fractions on the Number Line

(First an easy one, and then a harder one.)
423
We are going to translate this problem as:
"How many 23 sections can be created from 4?"

Set up a number line divided from 0 to 6.
Subdivide each of the full unit sections into 3 equal parts, creating 1/12 sections.
Mark off ONE "2/3 section".
Continuing marking off "2/3 sections" across the number line.
You will notice that the last section ends exactly on the number 4.
Count up the number of "2/3 sections" you were able to mark off.
ANSWER: The number of 23 sections that can be created from 4 is 6.fd50


4253
We are going to translate this problem as:
"How many 23 sections can be created from 45? "

Set up a number line with subdivisions of 1/5 and locate 4/5.
Determine the common denominator for 5 and 3, which is 15.
This will tell us the size of a subdivision shared by both values.
Subdivide each of the 1/5 sections into 3 equal parts, creating 1/15 sections.
Since 2/3 = 10/15, mark off ONE "2/3 section".
Notice that we have two 1/15 sections remaining.
beware
We need to ask "what part of a 2/3 section are these 2 remaining sections?"
What part of 10 is 2?    It is 2/10 or 1/5.
ANSWER: The number of 23 sections that can be created from 45 is aa5.


fd100

notans

dividerdash

Where Did This "Flip Over" Process for Dividing Come From?

Let's review what we know about division.
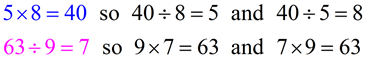
Division and multiplication are
opposite operations. There is an inverse relationship between multiplication and division. The following statement can be made about this relationship:

If   a x b = c,   then   c ÷ a = b   or   c ÷ b = a.
If   c ÷ b = a,   then   a x b = c   or  b x a = c.
(for a and b ≠ 0)
In plain English:
di1
One operation can "undo" the other.
6 x 8 ÷ 8 = 6 x 1 = 6

This inverse relationship carries over into the multiplication and division of fractions.
df1aa

But how do we find that missing number? How do we divide fractions?
Before we answer these questions, we must agree on the following rule:

RULE:    rule1 for a ≠0 and b ≠0.   
(Note: b/a is called the reciprocal of a/b)

Example:  di12 TRUE!

Now, we will rewrite our division problem using a fraction bar instead of a division symbol (÷). This "fraction over fraction" form is called a complex fraction, where the numerator is a fraction and/or the denominator is a fraction.

Next, we are going to simplify the denominator by converting that fraction to "1". We will be using the rule stated above with a reciprocal value of 3/2. Remember that we will need to multiply both the top and bottom of the complex fraction by 3/2, so as not to change the value of the entire fraction.

Notice how this process creates a nice, simple denominator of 1. Yea!

Now, just complete the multiplication and arrive at the answer.

apprule

Wow!! That was nice, but rather long. Let's fast forward and examine the process starting with the problem and going directly to the "multiply" step near the end. There is a pattern here!

apprule2
Observations:
• the signs changed from divide to multiply
• the second fraction was written as its reciprocal
Short Cut Method for Dividing:
... take the reciprocal of the second fraction, and multiply.

di13

dividerdash

 

ti84c
For help with fractions
on your calculator,
click here.

divider

NOTE: The re-posting of materials (in part or whole) from this site to the Internet is copyright violation
and is not considered "fair use" for educators. Please read the "Terms of Use".