jrlogo
Practice: Multiply & Divide Fractions
MathBitsNotebook.com

Topical Outline | Jr Math Outline | MathBits' Teacher Resources|

Terms of Use    Contact Person: Donna Roberts
divider
Practice Page

Directions: Read carefully and choose the best answer.

1.
Express this product in simplest form: mp1

Choose:
 
mp11
mp12
38
45
teen9

 

 

2.
Multiply: mp2

Choose:
 
120
96
mp23
102
teen99

 

 

3.
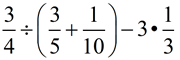
Simplify: mp3a

Choose:
 
mp31
mp32
mp34
mp33
teen94

 

 

4.
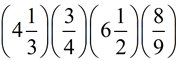
Find the product: mp4

Choose:
 
mp41
mp42
mp43
mp44

teen96

 

 

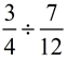
5.
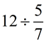
Express this quotient in simplest form: mp5

Choose:
 
mp51
mp52
mp53
mp54
teen93

 

 

6.
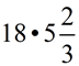
Find this quotient: mp7

Choose:
 
mp61
mp62
mp63
mp64
teen910

 

 

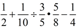
7.
Simplify: mp7a
Choose:
 
35
78
mp73
mp74
teen92

 

 

8.
Simplify: mp8
Choose:
 
13
mp82
45
mp84
teen98

 

 

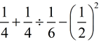
9.
Simplify: mp9a

Choose:
 
mp91
118
710
mp94
teen2

 

 

10.
Simplify: mp10

Choose:
 
add101
112
add103
2
teen88

 

 

divider

NOTE: The re-posting of materials (in part or whole) from this site to the Internet is copyright violation
and is not considered "fair use" for educators. Please read the "Terms of Use".