Directions: Read carefully and choose the best answer.
1.
Each diagram below shows the same square divided into an equal number of sections. Which of the squares is shaded in such a manner that it does not represent a fraction equivalent to the other three?
Choose:
2.
Based upon the shadings in the diagrams at the right, which of the following inequalities could be illustrated by these diagrams?
Choose:
3.
The diagrams at the right are demonstrating 3 equivalent fractions. Which of the following fractions, while being equivalent, is not depicted in these diagrams?
Choose:
4.
Reduce to its simplest form.
Choose:
5.
Simplify:
Choose:
6.
Fill in the blank:
Choose:
7.
Fill in the blank:
Choose:
8.
Fractions are placed in ascending order.
Which of the following fractions could fill in the blank?
Choose:
9.
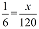
Find x:
Choose:
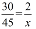
10.
Find x:
Choose:
NOTE: There-posting of materials(in part or whole) from this site to the Internet
is copyright violation
and is not considered "fair use" for educators. Please read the "Terms of Use".