Directions: Answer these questions pertaining to algebraic expressions.
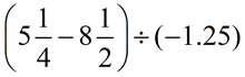
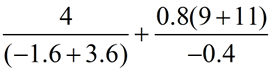
1.
What is the value of this expression ?
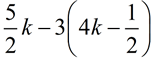
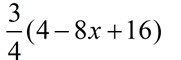
2.
What is the value of this expression ?
3.
Which expressions are equivalent to -2(6x - 3) - 3x? (Check all that apply, and hit SUBMIT!)
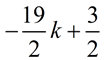
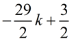
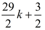
4.
Which choice is equivalent to this expression?
5.
Which choice is NOT equivalent to 18x - 18?
6.
A rectangular display board is 8 feet by 4 feet as shown. The length and width of the board will each be increased by the same number of feet. The perimeter of the new display board will be:
(8 + x ) + (4 + x) +
(8 + x) + (4 + x)
Which of the following choices are equivalent to
this new perimeter? (Choose ALL that apply, and hit SUBMIT!)
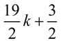
7.
Which choice is equivalent to: ?
8.
A triangle has side lengths represented as shown. Which choice represents the perimeter of the triangle?
9.
The price of a popular stock increased by 15.5% over the past year. If the price of the stock at the beginning of the year is represented by s, which expression represents the cost of the stock after the increase?
10.
The length of each side of a regular pentagon is represented by the expression 2x + 5. Which choices represent the perimeter of the pentagon? (Choose ALL that apply, and hit SUBMIT!)
A regular pentagon has
five sides of equal length.
NOTE: There-posting of materials(in part or whole) from this site to the Internet
is copyright violation
and is not considered "fair use" for educators. Please read the "Terms of Use".