Practice Page
Directions: Answer these questions pertaining to algebraic expressions.

1.
Which expression represents "3 less than twice x" ?

Choose:
2x - 3
3x - 2
3 - 2x
2 - 3x
Aface1

 

 

2.
Which choice is a description of 6n + 9 ?

Choose:
6 times the sum of n and 9
9 times the sum of 6 and n
9 more than 6 times n
6 more than 9 times n
Aface5

 

 

3.
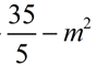
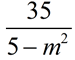
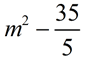
Which expression represents "the square of m diminished by the quotient of 35 and 5" ?

Choose:
41
42
43
44
Aface3

 

 

4.
Which expressions are equivalent to 5(a + 4) ?
(Check all that apply, and hit SUBMIT!)
 

5a + 4

3a + 3 + 2a + 1

5a + 20

3(a + 4) + 2(a + 4)

3(a + 4) + 2a

        

Aface4

 

 

5.
Which pair of expressions are equivalent?

Choose:
6x + 3x  and  18x
a + a + a   and  a3
3(5n)  and  8n
4(2x - 3)  and  8x - 12
Aface9

 

 

6.
One side of an equilateral triangle is represented by the expression 5(3a + 4) + a - 6. Which TWO of the expressions shown below can be used to represent the other two sides of the triangle?
(Choose TWO, and hit SUBMIT!)
 

16a - 2

16a + 14

9a + 3

2(8a + 7)

5(4a - 2)

        

confusedsnake
An equilateral triangle has 3 equal sides.

 

 

7.
What is the value of x2 + 3y - 2z, when x = 4, y = 3 and z = 6 ?

Choose:
5
13
29
37
Aface7

 

 

8.
The area of a rectangle is expressed as 3x(5 + 2y).
What is the area of the rectangle if x = 4 inches and y = 2 inches?


Choose:
108 sq. in.
78 sq. in.
64 sq. in.
17 sq. in.
Aface6

 

 

9.
During a winter sale, skateboards are thirdoff the regular price. Which expression represents the amount of money saved on a skateboard regularly costing d dollars?

Choose:
d + 3
d - 3
d × 3
d ÷ 3
Aface8

 

 

10.
Alison buys x pounds of horse treats costing 80 cents per pound. If Alison gives the clerk a $50 bill, which expressions represents the amount of change Alison will receive?

Choose:
50 - 80x
x - 50
50 - 0.8x
0.8x - 50
Aface2



divider

NOTE: The re-posting of materials (in part or whole) from this site to the Internet is copyright violation
and is not considered "fair use" for educators. Please read the "Terms of Use".