Practice Page
Directions: Answer these questions pertaining to expressions.

1.
Sneakers which normally sell for d dollars are on sale at a 25% discount. Which expression is NOT equivalent to the sale price of the sneakers?

Choose:
0.75d
0.25d
(1-0.25)d
d -0.25d
sneakers

 

 

2.
Daryl bought t dog toys that cost $4.75 each and b dog bones that cost $2.50 each. An 8% sales tax is applied to the total cost. Which expression represents the total amount Daryl paid, including tax?
Choose:
0.08(4.75t + 2.50b) + 0.08(t + b)
1.08(4.75t + 2.50b)
0.08(4.75t + 2.50b)
1.08(t + b + 7.25)
dogtoys

 

 

3.
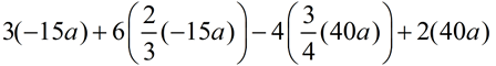
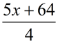
As a homework assignment, your math teacher has asked you to find the mistake that a student made in combining terms in this expression.
Simplify: question
stepss

a) In which step did the student first make a mistake?
Choose:
Step 1
Step 2 Step 3 Step 4

b) What is the correct answer?
Choose:
65a
95a -145a -305a

 

 

4.
A rectangular rug has its width represented by x and its length represented by 3x + 1.
a) Express the area of the rug in terms of x.

Choose:
4x + 1
3x2 + 1
8x + 2
3x2 + x

b)
If x = 3 feet, find the rug's perimeter.

Choose:
13 ft.
15 ft.
26 ft. 30 ft.
rug

 

 

5.
Over a one year period, the dimensions of a crater fluctuate due to climate changes. The diameter of the crater at the beginning of the year is represented by d. The diameter of the crater at the end of the year is represented by 1.05(0.86d).
Which of the following descriptions could be used to explain what happened to the crater during the year?

Choose:
The diameter decreased by 86% and then increased by 105%.
The diameter decreased by 14% and then increased by 5%.
The diameter decreased by 14% and then increased by 0.05%.
The diameter decreased by 86% and then increased by 5%.

 

 

6.
The figure shown at the right is composed of rectangles. The like-colored rectangles are congruent (the same size).
a) Write an expression to represent the perimeter of the figure.

Choose:
3a + b + c
12a + 4b + 4c
2ab + 4ac
6a + 4b + 4c

b)
Write an expression to represent the area of the entire figure (including the white center).
coloredfigure
 
Choose:
2ab + 2ac
2ab + 4ac + 2a2
2ab + 4ac
2ab + 4ac + a2

 

 

7.
Write an expression to represent the product of 5 and (¼ • x + 3.2).
Anna says the answer is 1.25x + 16.

Ali says the answer is ben.
Who is correct?
Choose:
Anna
Ali
both
neither
alianna

 

 

8.
The cost of a half-gallon of your favorite ice cream increased by 3.5% over the past year. Everyone must love it!
If the original cost of the ice cream is represented by c, which expression represents the cost of the ice cream after the price increase?

Choose:
c + 0.035c
c + 3.5c
0.035c 3.5c
icecream

 

 

9.
For the following investigation, you may assume that x is a positive integer between 5 and 10.
Ike's age is x years.
Maria is 5 years older than Ike.
Juan is 2 years younger than Ike.
Deann is twice the sum of Ike's age plus 4.

Kyle age is the triple of 5 less than Ike's age.
a) Express the total of their ages in terms of x.
Choose:
8x + 2
8x - 2
8x - 4
8x + 4
wow
 
b)
Who's the oldest?

Choose:
Ike
Maria
Juan
Deann
Kyle

 

 

10.
A board is (10x + 3) inches long. A slice measuring (7x - 4) inches is cut from the board. Express the amount of the original board that is left, in terms of x.

Choose:
3x - 7
3x + 1
3x + 7
3x - 1
board



divider

NOTE: The re-posting of materials (in part or whole) from this site to the Internet is copyright violation
and is not considered "fair use" for educators. Please read the "Terms of Use".