A mathematical "expression" may be either a numerical expression, such as 12 + 32, or an algebraic expression, such as 12 + n. In a numerical expression, the result of the expression is constant (it does not change). In an algebraic expression, the result of the expression can change, based on the value that replaces the variable n.

dividerdash

bullet Algebraic Expressions:

definition An algebraic expression is a mathematical expression consisting of numbers, operations, and one or more variables.

Unlike equations, algebraic expressions do not contain an equal sign.

partspic
The word "terms" refers to values that are added or subtracted.
7n + 2 has two terms.

The word "variable" refers to a letter (or symbol) that represents an unknown number.

The word "coefficient" refers to a number that is multiplied times a variable. The number "out front" of the variable.
The word "constant" refers to a number by itself (a value that will not change).
The word "operation" refers to a mathematical operation such as add, subtract, multiply and divide.
The word "factors" refers to values that are multiplied. The term 7n has two factors: 7 and n.


dividerdash

dino1

When translating mathematical expressions written in word form (verbal expressions), you need to know how to represent the unknown quantities and the operations assigned to the expressions. This skill of translating expressions is dependent upon the language that is being used in the description of the expression.

For example, consider the expression which is read "exceeds n by four".
The unknown quantity in this expression is given to be "n". But, what "mathematical operation" is represented by the word exceeds?

If you guessed that "exceeds" implies addition, you are correct.
This expression is mathematically written as n + 4.

Below are some of the most common words and phrases used in translating expressions,
together with the operations they represent.
This is not an exhaustive list. You may also find other words that apply.

ADD
add
sum
more than
increased by
exceeds
in all
combined
total
gain
plus

deposit
SUBTRACT
subtract
difference
* less than
decreased by
diminished by
minus
fewer
reduced by
take away
withdraw
MULTIPLY
multiplied by
of
product
times
double
twice
triple
DIVIDE
divide
quotient
divided equally
per
ratio of
split into
fraction

* be careful using "less than" - it reverses the order of things.
It is not written in the order it is read.
"5 less than 8" is written 8 - 5 and not 5 - 8
"3 less than n" is written n - 3 and not 3 - n

dividerdash

Also, be careful of the placement of commas in statements.
Consider: Is there a difference between these two statements?

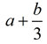
• the sum of a and b, divided by 3

• the sum of a and b divided by 3

The answer is "yes". (No comma in the second statement.)
But there is also a mathematical difference between these statements.
dragon2

In the first statement, "the sum of a and b, divided by 3",
the comma indicates the completion of the concept presented before the comma.
The a and b will be added BEFORE considering the division by 3.
Think of the statement as
"find the sum of a and b", pause (the comma), then "divide by 3".
Mathematically it looks like: ab3a

In the second statement, "the sum of a and b divided by 3",
there is no comma after the b, so there is no "pause" in the statement.
The statement is interpreted as the adding of (a) and (
b divided by 3).
You are simply "adding" what comes before the word "and" to what comes after the word "and".
Mathematically it looks like: ab3b.

dividerdash

examples
In these examples, we will be using "n" to represent "a number".
You can use any letter that you wish, such as x, a, b, etc.
 
Verbal Statement
Algebraic Expression
1.
three more than a number
3 + n
2.
eight times a number, increased by 12
8n + 12
3.
seven less than four times a number
4n - 7
4.
five decreased by three times a number
5 - 3n
5.
the product of 10 and a number
10n
6.
a number divided by two
n / 2
7.
nine less than the twice the sum of a number and four
2(n + 4) - 9
8.
the quotient of fourteen and triple a number
14/(3n)
9.
5 times, a number increased by 6
5(n + 6)


In a problem like Example #8, remember that 14/3n is not the same as 14/(3n).
hintgal
frac1
frac2


Now, let's try reversing the situation:
Given the algebraic expression, create a possible verbal statement.

10.
Given 3n - 2, write a verbal expression that matches this mathematical expression.
Here are five possible answers:
• three times a number decreased by two
• triple a number minus two
• two less than three times a number
• three times a number diminished by two
• the product of three and a number, reduced by two


divider

NOTE: The re-posting of materials (in part or whole) from this site to the Internet is copyright violation
and is not considered "fair use" for educators. Please read the "Terms of Use".