|
Directions: Read carefully and choose the best answer. The cartoon characters may, or may not, be helpful!
1. |
Which expression is equivalent to -5x + 25?
|
|
|
2. |
Which expressions are a factor of -24abc - 12ab + 20abc?
(Check all that apply, and hit SUBMIT!) |
|
|
|
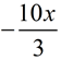
3. |
Which expression is equivalent to ?
|
|
|
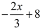
4. |
Which expression is NOT equivalent to -8a + 16b ?
|
|
|
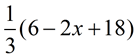
5. |
Which expression is the correct factoring of
-3x + 5?
|
|
|
6. |
What is the greatest common factor that can be factored out of the expression 48a + 72 ?
|
|
|
8. |
Which entries, in order, will complete boxes 1, 2 and 3 in this area illustration of the distributive property and factoring?
|
|
9. |
Which of the following choices is a correct factoring for 10abc + 35ab + 20a?
|
|
|
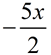
10. |
Which of the following choices is a correct factoring for:
|
|
|

NOTE: The re-posting of materials (in part or whole) from this site to the Internet
is copyright violation
and is not considered "fair use" for educators. Please read the "Terms of Use". |
|