rule
For all numbers x and all integers m and n,
rulepower
pppic

When you raise a power to a power,
you MULTIPLY
the exponents.

When in doubt, expand the terms (as shown at the right) to see what is happening.

pp1

pp2

4s

Examples:

1.  (52)5 = 510
Power raised to a power → multiply the exponents.
2.  (1.24)5 = 1.220
Decimal base: Power raised to a power → multiply the exponents.

3.  ((-10)3)5 = (-10)15
Negative number base: Power raised to a power → multiply the exponents.

4.  12haf
Fraction base: Power raised to a power → multiply the exponents.
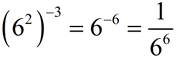
5.  6negg
One of the exponents is negative. Still follow the rule and multiply the exponents. Be careful of the sign. In this case a positive number times a negative number gives a negative number. Then convert to a fraction.
6.  (a4)3 = a12
Variable base: Power raised to a power → multiply the exponents.
7.  (2x)y= 2xy
Power raised to a power → multiply the exponents.
Treat the variables x and y as if they were numbers, and multiply them.

8.  (x2)x+2 = x2x+4
Power raised to a power → multiply the exponents.
Be careful! Be sure to use a parentheses around x + 2 when you multiply: 2(x + 2) = 2x + 4

 

divider

NOTE: The re-posting of materials (in part or whole) from this site to the Internet is copyright violation
and is not considered "fair use" for educators. Please read the "Terms of Use".