Practice Page
Directions: Choose the best answer for each question.

1.
Express using an exponent:
      b multiplied times itself n times


Choose:
nb
bn
bn
bb
hair2

 

 

2.
Which choice is a mathematical shorthand for:
      a • a • a • a • ... • a     (k factors)

Choose:
ak
ka
ak
ka
girl1

 

 

3.
Express using mathematical shorthand:
      (x)(x)(x) + (x)(x)(x) + (x)(x)(x) + (x)(x)(x)

Choose:
3x4
4x3
12x
4x4
hair4

 

 

4.
Which choice is a mathematical shorthand for:
      m + m + m + m + ... + m    (x terms) ?
Choose:
mx

xm

xm
xmx
girl3

 

 

5.
a2a6a3 =

Choose:
a11
a30
a36
a18
hair3

 

 

6.
6x2(2x3 + 5x4 - 3) =

Choose:
12x6+ 30x8 - 18x2
12x5+ 30x6 - 18x2
12x6+ 30x8 - 18 12x5+ 30x6 - 18
girl6

 

 

7.
al6=

Choose:
8m2
8m3
8m4
8m5
hair5

 

 

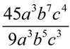
8.
al8 =

Choose:
5ab2c
5ab2
5b2c
5b2c2
girl12

 

 

9.
(4m2)3 =

Choose:
12m5
16m6
64m5
64m6
hair1

 

 

10.
(a2)3b+5 =
Choose:
a6b+5

a5b+7

a6b+10
2a3b+5
girl7

 

 

11.
5(3x2)4 =

Choose:
60x6
15x8
81x6
405x8
hair8

 

 

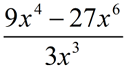
12.
2a24a-4 =

Choose:
111 112 113 114
girl4

 

 

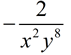
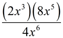
13.
13 =

Choose:
x2
4x2
4x9
4x15
hair6

 

 

14.
Find the value of (3x - 6)0 when x does not equal 3.

Choose:
1
2
0
It varies.
girl5

 

 

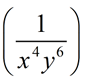
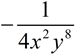
15.
15=

Choose:
3x(1 - 3x)
3x(1 - 3x2)
3x(1 - 9x5) 9x3(1 - x)
hair7

 

 

16.
What is the value for m in the equation shown below?
    32 × 3m = (35)3

Choose:
4
8
13 15
girl10

 

 

17.
What is the value for a in the equation shown below?
    4-5 × 4a = (43)-1

Choose:
-2
2
-8 8
hair9

 

 

18.
(x2y3)-2 =

Choose:
x4y6
y
op3 op4
girl2

 

 

19.
(-2xy4)-2 =

Choose:
hh1
last2
last3 last4
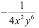
hair10

 

 

20.
an=

Choose:
am-n
an2
am • a-n All choices
girl11

 

divider

NOTE: The re-posting of materials (in part or whole) from this site to the Internet is copyright violation
and is not considered "fair use" for educators. Please read the "Terms of Use".