logo
Practice with One-step Linear Equations
MathBitsNotebook.com

Topical Outline | JrMath Outline | MathBits' Teacher Resources

Terms of Use    Contact Person: Donna Roberts
divider
Practice Page
Directions: You may need paper and pencil. Choose the correct answer.

1.
Solve for x:   x + 8 = 19
eq1
Choose:
 
x = 27
x = -27
x = 11
x = -11



2.
Solve for m:   m - 6 = 24
eq1
Choose:
 
m = 30
m = -30
m = 18
m = -18



3.
Solve for x:   x - 12 = -16
eq3
Choose:
 
x = 28
x = -28
x = 4
x = -4



4.
Solve for q:   5q = 125
eq4p
Choose:
 
q = 120
q = 130
q = 25 q = 625



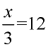
5.
Solve for x:   aa1
EQ6p
Choose:
 
x = 4
x = 9
x = 15 x = 36



6.
Solve for a:   9 + a = 30
EQ5p
Choose:
 
a = 39
a = -39
a = 21
a = -21



7.
Ten times a number, n, is 530. Which equation can be used to find n?
EQ7
Choose:
 
10n = 530
10 = n + 530
  10 + n = 530 n = 10/530



8.
A number, n, decreased by 14 equals 60.
Which equation can be used to find n?
EQ9p
Choose:
 
n = 60 - 14
n + 14 = 60
  14n = 60 n - 14 = 60



9.
Solve for x:   x + 4.5 = -8.7
EQ8p
Choose:
 
x = 13.2
x = -13.2
  x = 4.2 x = -4.2



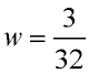
10.
Solve for w:   aa2
EQ10p
Choose:
 
w = 2
w = 6
aa2a aa2b

 


divider

NOTE: The re-posting of materials (in part or whole) from this site to the Internet is copyright violation
and is not considered "fair use" for educators. Please read the "Terms of Use".