logo

In the Geometric Relationships section, we worked with scale drawings,
as an application of similarity.

In a scale drawing, you are dealing with objects of the same shape, but not necessarily the same size. As with similarity, the corresponding sides are proportional, with the ratios of their corresponding sides being equal.

The two rectangles shown at the right are similar.
But we can also think of these rectangles as a scale drawing with a scale factor.

Rectangle K is a scale drawing of rectangle B with a scale factor of 1:2. Every one inch of the scale drawing, K, represents 2 inches of initial rectangle B.

scale1
With K being the scale drawing of B,
the scale factor is 1:2.
scalefrac1
How do the areas of the rectangles compare?
The areas are NOT in the ratio of 1:2.
The areas are in a rato of scalefrac2or 1:4
          scalefrac3
The area of rectangle B = 6 x 12 = 72 sq. in.
The area of rectangle K = 3 x 6 = 18 sq. in.

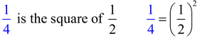
scalefrac2
shows the ratio of the areas
to be the square of the scale factor of ½.
note1
If two polygons are similar, the ratio of their AREAS is equal to the SQUARE of the ratio of their corresponding sides (or the scale factor).
("corresponding sides" could be "sides", "altitudes", "diagonals", or "perimeters")

dividerdash

ex1
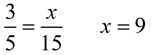
Triangle T is a scale drawing of triangle S with a scale factor of 3:5.
a) find the value of x.
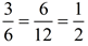
b) If the height in triangle T, drawn to base x, is 6 inches, find the height in triangle S, drawn to base of 15 in.
c) What is the ratio of the area of triangle T to the area of triangle S?
triangleST
Solution:
a)
Use the scale factor to find the miss value of x. triST!

b) Use the scale factor again, being careful to place the 6 in the proper location. trist2

c) The ratio of the areas of two similar figures is the square of the ratios of the corresponding sides.
Area ratio: trist3

dividerdash

ex2
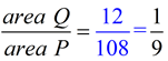
Given rectangle P with sides of 9 and 12 units, and rectangle Q with an area of 12 sq. units. Rectangle Q is a scale drawing of rectangle P. Find the length of the sides of rectangle Q.
scale2
Solution: The area of P is 108 sq. units.
The ratio of the areas is scalefrac4.
"ratio of areas = square of ratio of matching sides"

Since 9 is the square of 3,
the scale factor is 1/3.
scalefrac6
The sides of rectangle Q
have lengths of 3 and 4.

dividerdash


ex3

An architect's drawing shows a design which is actually 324 times larger than his drawing. If a measurement on the drawing is 2 inches, find the actual length, in feet, represented by that measurement.
architenctdrawing

 

Solution: The scale factor in inches is 1 : 324.
A length of 2 inches on the scale drawing will actually be 2(324) = 648 inches in length.

Convert inches to feet: (12 in. = 1 ft.)
648/12 =
54 feet.

 


divider

NOTE: The re-posting of materials (in part or whole) from this site to the Internet is copyright violation and is not considered "fair use" for educators. Please read the "Terms of Use".