reflogo

Volume (V) and Surface Area (SA) Formulas
Note:  Surface area formulas may need to be amended if the figure has "open" surfaces,
such as when working with a box without a lid or with a soup can without a top.

Volume is measured in "cubic units".
Surface area is measured in "square units".

All of the information on this page pertains to "right" solids,
where when placed on their bases, the second congruent base will be directly above the first base.

solid1p
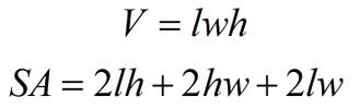
Right Rectangular Prism
solid1m
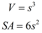
solid1p2
Right Square Prism (Cube)
Vsquare
s = length of side
prismform
Right Triangular Prism
Right Prism (all forms)
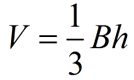
vbh
B = area of base; h = prism height (or depth)

SA = 2B + ph
B = area of base, p = perimeter of base, h = prism height
prismform
Right Pyramid (all forms)
pyramidform
B = area of base; h = pyramid height
SA = sum of area of all faces.
If base is a "regular" polygon,
SA = B + ½ ph
B = area of base, p = perimeter of base,
h = slant height
solid2p
Right Circular Cylinder
solid2m
This formula assumes a "closed container"
with a top and bottom.
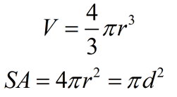
solid3p
Sphere
solid3m
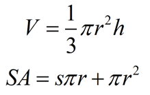
solid4p
Right Circular Cone
solid4m
This formula assumes a "closed container", with a bottom.

 

divider


NOTE: The re-posting of materials (in part or whole) from this site to the Internet is copyright violation
and is not considered "fair use" for educators. Please read the "Terms of Use".