galileo

reflogo
Remember to label areas with "square units".
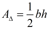
Area of Triangles
areatri
b = base and h = height to that base
Area (all triangles)
areatri
areaequitri
s = side length
*Area (equilateral triangle)
areaeqitri
* The formula for finding the area of ANY (and ALL) triangles is A = ½bh.
It just so happens that the equilateral triangle also has a "fancy" formula to find the area if only the lengths of the sides are known. Of course, you can still use the Abh formula on the equilateral triangle when given the needed information.

star The formula you need to memorize for the area of triangles is A = ½

Area of Parallelograms

arearect
b = base and h = height
l = length and w = width may also be used
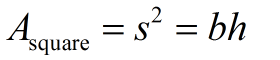
Area (rectangle)
areabh
arealw
areasq
s = side length
Area (square)

areasq
A square is a special type of rectangle, so the formula for the area of a rectangle, A = bh, will work just fine for a square.
Just remember, that in the square the b = h

areapar
b = base and h = height
Area (parallelogram)

areapara

The height is drawn perpendicular to the base being used to find the area.

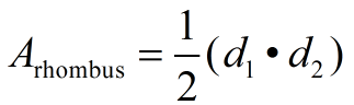
arearh
d1 = diagonal 1; d2 = diagonal 2

*Area (rhombus)

arearho
The rhombus is a special type of parallelogram, so the formula for the area of the parallelogram, A = bh, will work nicely for the rhombus as well.

* For the "parallelogram group", the area formula, A = bh, will work nicely for all four figures (listed above). The rhombus also has a "fancy" formula for finding the area when you know the diagonals, but the formula A = bh also works for the rhombus.
star Regarding the "parallelogram group", the formula you need to memorize
is A = bh, with emphasis on the rectangle and square.

When working with the parallelogram and rhombus, decomposition (cutting the shape up into triangles and rectangles) will be the preferred method, at this level, for finding area.
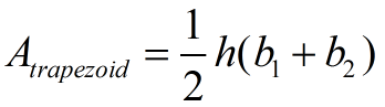
Area of Trapezoid
areatrap
base 1
= length of one parallel side
base 2 = length of other parallel side
h = height drawn between the bases

*Area (trapezoid)

areatr

The height is drawn perpendicular to the bases being used to find the area.

* The definition of trapezoid: a quadrilateral with at least one pair of parallel sides.
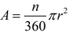
Area of Circle and Sectors of a Circle
(Sectors are like "pizza" pie slices of a circle.)
areacir
Area (circle)
areac
Answers may be in terms of π
or a rounded decimal.
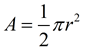
areaChalf
Semi-circle
(half of circle = half of area)
areaCh
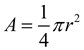
areaCquart
Quarter-circle
(¼ of circle = ¼ of area) areaCq
areaCarc
Any Sector
(fractional part of the area)
areaCs
n = degrees in central angle of sector
Area of Regular Polygons
areapolys
  areapoly
Regular polygons have all sides of equal length.
a = apothem
p = perimeter

 

divider


NOTE: The re-posting of materials (in part or whole) from this site to the Internet is copyright violation
and is not considered "fair use" for educators. Please read the "Terms of Use".