Sinusoid:    y = Asin(B(x - C)) + D

Of course, any graphing utility can produce an accurate graph of a sinusoid.  But how do you accomplish this task if you must graph by hand?
ti84c
How to use your graphing calculator for graphing trig functions.
click here.
MathBits Calculator Pages

Build a Sinusoidal Graph by hand:
y = Asin(B(x - C)) + D

Graph:    y = 2sin(π(x - 2)) - 5

Step
Directions
Graph
1.
Draw the center line of the graph by graphing the horizontal line, y = D.
sinuo43
2.
Using the amplitude, A, draw two  horizontal lines, y = D + A and
y = D - A
,  that will encase the sinusoidal graph.  The sinusoid's maxima (plural of maximum) will lie on y = D + A and its minima will lie on y = D - A.
sinou45
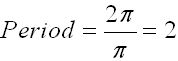
3.
Determine the period of the curve using B. Period = 2π / B.   Once we start to draw the graph, a complete cycle of the function will be completed within 2 units, for this example. 
The horizontal distance between maxima and minima is ½ the period.
sinuo6
4.
Plot the point (C, D) which will lie on the center line.  This point will be half way between a maximum point and a minimum point.
stepgraphdot
5.

Locate a maximum and minimum which are horizontally 1/4 of the period before and after the point (C, D).  Since (2,-5) corresponds to (0,0) of the standard sine graph, y = sin x, the maximum point will be to the right of the point (2,-5).

y = 2sin(π(x - 2)) - 5

sinu47

 

divider


NOTE: The re-posting of materials (in part or whole) from this site to the Internet is copyright violation
and is not considered "fair use" for educators. Please read the "Terms of Use".