|
When working with trigonometric inverse problems, keep the following information in mind:
Inverse Notation: |
arcsin(x) = sin-1(x)
arccos(x) = cos-1(x)
arctan(x) = tan-1(x)
arcsin(x)is read "the angle
whose sine is x".
|
|
|
|

 |
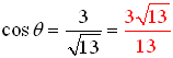
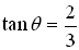
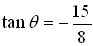
Tangent is positive in Quadrant I. |
Solution:
You are looking for "the angle whose tangent is" and the angle is in the interval .
creates the triangle shown at the right. The Pythagorean Theorem was used to find the length of the hypotenuse.
 |
 |

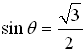
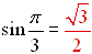
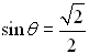
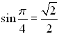
Sine is positive in Quadrant I.
|
Solution:
You are looking for "the angle whose sine is" the same as the  in the interval  .

You need to find an angle whose 
in  .
Remember when f (f-1(x)) = x? This concept does not apply in this situation because of the restrictions on the domain of sine inverse. |

|
For help with trigonometric inverses on
your calculator,
click here. |
|

NOTE: The re-posting of materials (in part or whole) from this site to the Internet
is copyright violation
and is not considered "fair use" for educators. Please read the "Terms of Use". |
|