The relationship between sine and cosine was examined in previous courses. That same type of relationship exists between other trigonometric functions as well. Let's take a look!
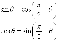
The sine of an acute angle is equal to the cosine of its complement.
The cosine of an acute angle is equal to the sine of its complement.
In the diagram at the left, the measures of the angles designated by and add to 90º. These angles are complementary angles.
In this triangle,
and
.
This concept was studied in Geometry.
Such examinations, lead us to three sets of "cofunction" identities
(in terms of degrees):
Sine and cosine are cofunctions.
Tangent and cotangent are cofunctions.
Secant and cosecant are cofunctions.
Also written (in terms of radians):
Sine and cosine are cofunctions.
Tangent and cotangent are cofunctions.
Secant and cosecant are cofunctions.
Notice the connection of the letters C & O:
* sine and cosine cofunctions
* tangent and cotangent cofunctions
* secant and cosecant cofunctions
* complementary
Examples:
1.
Solution: Since sine and cosine are cofunctions, we know that the value will be the complement of 15º. Answer: 75º
2.
Write the expression tan 265º as the function of an acute angle of measure less than 45º.
Solution:The 265º angle is in the third quadrant with a reference angle of 85º. So we could write:
tan 265º = tan 85º. But the question wants an angle less than 45º, so we use our cofunctions.
tan 85º = cot 5º. Answer: cot 5º
NOTE: There-posting of materials(in part or whole) from this site to the Internet
is copyright violation
and is not considered "fair use" for educators. Please read the "Terms of Use".