So, how many ratios pertaining to the sides of the triangle are possible? Let's take a look:
 |
What possible ratios
of the sides
exist?
 |
If we flip these three ratios over, we have three more:
|
The first three ratios established above have specific "names" (sine, cosine and tangent). These are referred to as the basic trigonometric functions.
Sine (sin) |
Cosine (cos) |
Tangent (tan) |
|
|
|
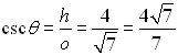
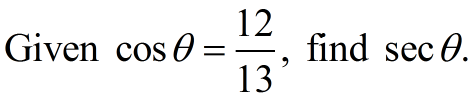
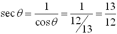
The second three ratios established above also have specific "names" (cosecant, secant, and cotangent). These three ratios are referred to as the reciprocal trigonometric functions.
Cosecant (csc) |
Secant (sec) |
Cotangent (cot) |
|
|
|
Notice that these three new ratios are reciprocals of the ratios of the basic trigonometric functions.
Applying a little algebra shows the connections between these functions.

Applying this connection will create some basically used statements about trigonometric ratios:
Trigonometric functions work ONLY in right triangles! |