|
Directions: Read carefully.
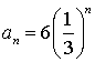
1. |
Find the 9th term of the sequence:

Choose:
|
|
|
2. |
List three positive geometric means between 1 and 81.
|
|
3. |
Find t12 for a geometric sequence where
t1 = 2 + 2i and r = 3.
Choose:
|
|
|
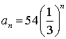
4. |
Which of the following choices expresses the nth term of the sequence 54, 18, 6, ... ?
Choose:
|
|
|
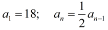
5. |
Which of the following choices is a recursive formula for
18, 9, 4.5, 2.25, ... ?
Choose:
|
|
|
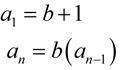
6. |
The formula shown below can be used to model which of the following scenarios?

|
|
Choose:
|
|
|
|
7. |
In 1999, the Peregrine falcon was finally removed from the endangered species list in the United States. It was estimated in 2013, that there were currently 2,800 breeding pairs (5600 birds) in Canada, Mexico and the US. If a population annual growth rate of 2.4% could be maintained, which equation could be used to predict the population pairs of Peregrine falcons n years after 2013?
|
|
Choose:
|
|
|
|
8. |
Given the recursive formula:

Which of the following choices is an explicit formula for an ?
Choose:
|
|
|
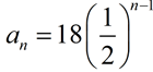
9. |
The sequence a1 = 8; an = 4an-1 can also be written as:
Choose:
|
|
|
10. |
Dana began an exercise program using a FitBit to measure her distance walked on her treadmill, in miles, per week. The following table shows her progress over three weeks.
Week |
1 |
2 |
3 |
Distance Walked
on treadmill
(miles) |
9 |
11.7 |
15.21 |
If she continues to progress in this manner, which of the listed statements could model the number of miles Dana walks on her treadmill, an, in terms of n, the number of weeks?
(Check all that apply, and hit SUBMIT!)
|
|
|

NOTE: The re-posting of materials (in part or whole) from this site to the Internet
is copyright violation
and is not considered "fair use" for educators. Please read the "Terms of Use". |
|