|
Some sequences are composed of simply random values, while others have a definite pattern that is used to arrive at the sequence's terms. The geometric sequence, for example, is based upon the multiplication of a constant value to arrive at the next term in the sequence.
Geometric Sequences |
Multiply |
|
Geometric sequences follow a pattern of multiplying a fixed amount (not zero) from one term to the next. The number being multiplied each time is constant (always the same).
a1, (a1r), (a1r2), (a1r3), (a1r4), ...
The fixed amount is called the common ratio, r, referring to the fact that the ratio (fraction) of second term to the first term yields the common multiple. To find the common ratio, divide the second term by the first term. |
|
Geometric sequences have a non-linear nature when graphed (as a scatter plot). The domain consists of the counting numbers 1, 2, 3, 4, ... (representing the location of each term) and the range consists of the actual terms of the sequence. In the graph shown above, while the x-axis increases by a constant value of one, the y value increases by a constant multiple of 2.
Geometric Sequences
Geometric Sequence: |
Common Ratio, r: |
3, 12, 48, 192, 768, 3072, ... |
r = 4. A 4 is multiplied times each term to arrive at the next term.
OR ... divide a2 by a1 to find the common ratio of 4. |
-6, 18, -54, 162, -486, ... |
r = -3. A -3 is multiplied times each term to arrive at the next term.
OR ... divide a2 by a1 to find the common ratio of -3. |
|
. A 2/3 is multiplied times each term to arrive at the next term.
OR ... divide a2 by a1 to find the common ratio of 2/3. |
Geometric Series |
Summation |
|
When the terms of a sequence are added together, the sum is referred to as a series. We will be working with finite sums (the sum of a specific number of terms). |
This is the sum of the first n terms. |
Geometric Series: Sn = a1 + (a1r) + (a1r2) + (a1r3) + (a1r4) + ... + (a1rn - 1)
A geometric series is the adding together of the terms of a geometric sequence.
|

Formulas used with geometric sequences and geometric series:
To find any term
of a geometric sequence:

where a1 is the first term of the sequence,
r is the common ratio,
n is the number of the term to find. |
Note: a1 may be simply referred to as a. |
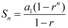
To find the sum of a certain number of terms of a geometric sequence:

where Sn is the sum of n terms ( nth partial sum),
a1 is the first term, r is the common ratio. |
|
Click here to see "How these Formulas were Created". |

Let's take a look at a variety of examples working with geometric sequences and series.
Read the "Answers" carefully to find "hints" as to how to deal with these questions.

Questions:
|
Answers: |
1. Find the common ratio for the geometric sequence:  |
The common ratio, r, can be found by dividing the second term by the first term, which in this example yields -1/3. Checking shows that multiplying each term by -1/3 will create the next term. |
2. Find the common ratio for a geometric sequence whose formula is:
an = 4(3)n-1. |
A listing of the terms will show what is happening in the sequence (start with n = 1). 4, 12, 36, 108, ...
The common difference is 3.
The position of the 3 in the formula also indicates its importance as the common ratio.
|
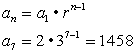
3. Find the 7th term of the sequence:
2, 6, 18, 54, ... |
By observation: n = 7, a1 = 2, r = 3
Use the formula:

The 7 th term is 1458.
|
4. Find a11 for the geometric sequence:
 |
Don't let fractions scare you off.
By Observation: n = 11, a1 = 1, r = -½

|
5. Find a9 for the geometric sequence:
0.5, 3.5, 24.5, 171.5, ... |
Don't worry about decimals.
By observation: n = 9, a1 = 0.5, r = 7
|
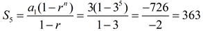
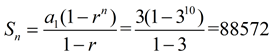
6. Evaluate using one of the geometric sequence formulas:
 |
List the terms from the summation to get a better idea of what is happening in the series.

This is clearly a geometric series with a common ratio of 3. By observation: n = 5, a1 = 3, r = 3
Be sure to use the formula for SUM!
 |
7. Find the sum of the first 8 terms of the sequence: -5, 15, -45, 135, -405, ... |
First determine that the sequence is geometric. It is, since each term is being multiplied by -3.
By observation: n = 8, a1 = -5, r = -3
Notice the word SUM. Use the sum formula.

|
8. The third term of a geometric sequence is 3 and its sixth term is 1/9. Find the first term. |
Visualize the situation.

Think of the sequence as temporarily "starting with 3" so we can find the common ratio.
Think: n = 4, a1 = 3, a4 = 1/9
Now, that we have the common ratio, work backward (multiplying by 3, or dividing by 1/3) to find the first term.
a1 = 27 |
9. Insert three geometric means between 4 and 324.
Note: In this context, a geometric mean is the term between any two terms of a geometric sequence. |
|
Again, visualize the situation.
4, ___, ___, ___, 324

Now, insert the terms using r:
4, 12, 36, 108, 324 |
10. A ball is dropped from a height of 8 feet. The ball bounces to 80% of its previous height with each bounce. How high does the ball bounce on the fifth bounce? Round answer to the nearest tenth of a foot.
|
Again, visualize the situation. Set up a model to represent each "bounce" starting with the height of the first bounce, and listing 5 bounces.
6.4, 5.12, _____, _____, _____
The common ratio is 0.8.
This problem does not indicate SUM, so do not use the sum formula.
The answer is 2.6 feet. |
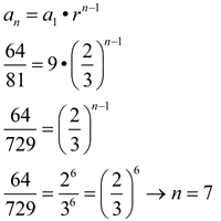
11. Find the number of terms in the geometric sequence:

Note: n must be an integer! |
|
By observation: a1 = 9, an = 64/81, r = 2/3.
We need to find n. This question makes NO mention of "sum", so avoid that formula.

In this problem, n - 1 = 6, so n = 7. When solving for n, be sure your answer is a positive integer. There is no such thing as a fractional number of terms in a sequence!
|
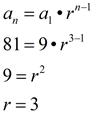
12. The second term of a geometric sequence is 9 and the fourth term is 81. Find the sum of the first 10 terms of this sequence.
Notice how
BOTH formulas
work together to arrive
at the answer. |
|
The word "sum" indicates the need for the sum formula.
We are missing the value of r and a1for the sum formula.
___, 9, ___, 81, ...
Let a1 = 9, a3= 81 (temporarily) and find r.

We are still missing a1 for the sum formula, so dividing 9 by 3 gives its value of 3.
Now, we use this information to find the sum:
|

NOTE: The re-posting of materials (in part or whole) from this site to the Internet
is copyright violation
and is not considered "fair use" for educators. Please read the "Terms of Use". |
|
|