|
Directions: Simplify these rational expressions as directed.
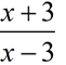
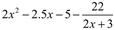
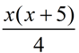
1. |
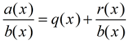
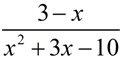
Given , rewrite the expression in the form where a(x), b(x), q(x) and r(x) are polynomials and the
degree of r(x) is less than the degree of b(x)
|
|
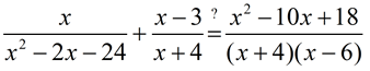
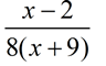
2. |
a) State the restrictions on the expression:
b) Combine and simplify the expression.
Choose:
|
|
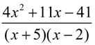
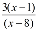
3. |
Subtract and simplify:
|
|
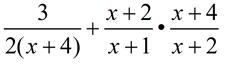
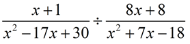
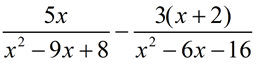
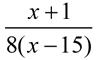
4. |
Add and simplify:
|
|
|
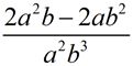
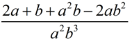
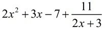
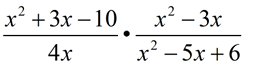
5. |
Simplify:
|
|
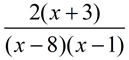
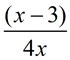
6. |
Simplify:
Hint: remember order of operations!
Choose:
|
|
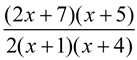
7. |
TRUE or FALSE? 
|
|
8. |
a) State the restrictions on the expression:
b) Combine and simplify the expression.
Choose:
|
|
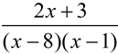
9. |
Simplify:
|
|
|
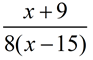
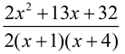
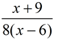
10. |
Simplify:
|
|

NOTE: The re-posting of materials (in part or whole) from this site to the Internet
is copyright violation
and is not considered "fair use" for educators. Please read the "Terms of Use". |
|