|
Directions: Solve the following rational inequalities. The solutions shown for Problems 1-5 will use Method 1 and for problems 6-8 will use Method 2, as described on the lesson page. You may use Method 1 for all problems if you prefer.
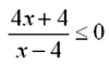
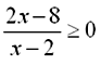
1. |
Solve: 
|
|
|
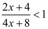
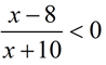
2. |
Solve: 
|
|
|
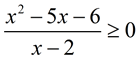
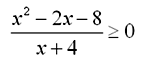
3. |
Solve:
|
|
|
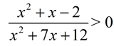
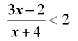
4. |
Solve: 
|
|
|
5. |
Solve: 
|
|
|

6. |
Solve: 
|
|
|
7. |
Solve: 
|
|
|
8. |
Solve: 
|
|
|

NOTE: The re-posting of materials (in part or whole) from this site to the Internet
is copyright violation
and is not considered "fair use" for educators. Please read the "Terms of Use". |
|
|