Practice Page
Directions: The following questions pertain to graphs of rational functions.
Do not use your graphing calculator, unless instructed to do so.


1.
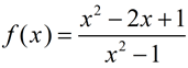
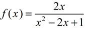
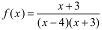
At what x-value location(s) would you find vertical asymptotes for the function graphma?
Choose:
 
x = 1 only
x = -1 only
x = ± 1
x = 2



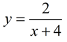
2.
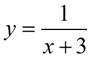
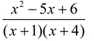
Given the function graphm2:
      a) What is the x-intercept of this graph?
Choose:
 
(½, 0)
(- ½, 0)
(3, 0)
(-3, 0)

      b)
What is the equation of the vertical asymptote?

Choose:
 
x = ½
x = -3
y = ½
y = -3

 

 

3.
Given the graph shown at the right in a 10 x10 viewing window. Which of the following equations could have possibly been used to produce this graph?
(Do not use your graphing calculator!)
graph3m
Choose:
 
graph3d
graph3c
graph3b
graph3a

 

 

4.
Which of the following functions has x = 0 as a vertical asymptote?
(Do not use your graphing calculator!)

Choose:
 
y =g4b
y = g4a
 
y = g4c
y = g4d

 

 

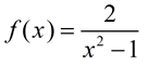
5.
The characteristics of the following function are that its zeros are at x = -1 and x = 3 and its vertical asymptote is at x = 0.
         g4e
yesno
Choose:
 
Yes
No

 


6.
Which of these functions has no vertical asymptotes?
(Check this one out on your graphing calculator.)
Choose:
 
g6a
g6b
 
g6c
g6d

 


7.
Given the graph of g7b shown at the right. Which of the following statements describes the behavior of the graph as x approaches positive infinity?
g7a
Choose:
 

f (x) approaches positive infinity

f (x) approaches one
 
f (x) approaches negative infinity
f (x) approaches zero

 


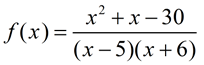
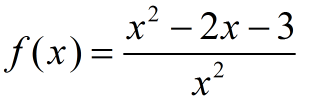
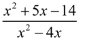
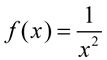
8.
Find the x-intercept for the function:
         g8a
(Do not use your graphing calculator!)

8pic
Choose:
 
(0,1)
(1,0)
(-1,0)
none


divider

NOTE: The re-posting of materials (in part or whole) from this site to the Internet is copyright violation
and is not considered "fair use" for educators. Please read the "Terms of Use".