Practice Page
Directions: Grab your paper and pencil. Either provide a check to show your answer is not extraneous, or state the domain of the equation showing which values will not satisfy the equation.
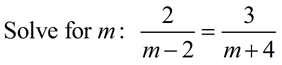
1.
ep1
Choose:
 
m = 2
m = 14
m = -2
m = -14

 

 

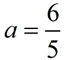
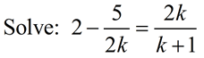
2.
eq222
Choose:
 
6 only
-1 only
both 6 and -1
both 1 and -6

 

 

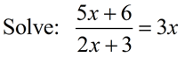
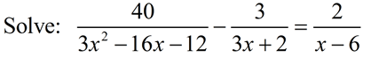
3.
eq3
Choose:
 
41
42
44
43

 


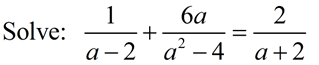
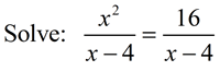
4.
eq4
Choose:
 
4 only
-4 only
both 4 and -4
no solution

 


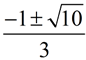
5.
eq5
Choose:
 
b = 7
b = -7
b = 5
b = -5

 


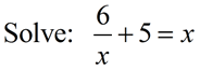
6.
eq77
Choose:
 
6
-6
both 6 and -6
no solution

 


7.
Find the lengths of the two unknown sides represented in terms of x.
e17pic
Choose:
 
8, -9
8, 11
 
7, 10
7, 9

 


8.
eq8
Choose:
 
81
-2
83
3 and -2

 


9.
The sum of twice a positive integer and four times the reciprocal of the integer is 9. Find the integer.
Choose:
 
x = ½ or 4
x = -½ or -4
x = ½ only
x = 4 only

 


10.
eq10
Choose:
 
k = 5
k = 2
k = -5
k = -2

 

 

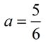
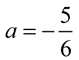
11.
eq12
ratpic11
Choose:
 
(4,3) only
(-1,2) only
 
(3,4) only
(4,3) and (-1,2)


divider

NOTE: The re-posting of materials (in part or whole) from this site to the Internet is copyright violation
and is not considered "fair use" for educators. Please read the "Terms of Use".