Does the index in a radical "have to be" an integer? |
Now that we understand the relationship between radicals and rational exponents, we can examine the answers to some perplexing questions about radicals. Consider this example:
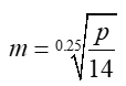
You are given the equation p = 14m0.25 and asked to express m in terms of p.
Is an acceptable answer? |
In other words, can the index of a radical be a fraction (or decimal)?
The answer is "traditionally" NO.
But "technically" YES.
In past math courses, we have seen the use of radicals indicating that the index must be a positive integer (> 1). This is what is known mathematically as the "standard form of a radical".
Remember, the index of a radical expression indicates the number of times, n. that a specific value is used as a factor to obtain the radicand (the number under the radical, R).
is considered the "nth root of the number R".
It is simply "nicer" to have the index be a "counting" number, starting with 2.
(Remember: stay with this traditional definition unless told otherwise by your teacher.)
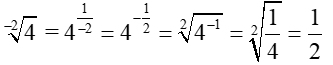
BUT ... technically the index can also be a fraction (or decimal).
Now, that we understand the relationship between radicals and rational exponents,
we can determine why this is true and how it relates to a fractional exponent.

The reciprocal of the fractional exponent is used.
It is simply another way to look at a concept, but it is not "standard radical form".
NOTE: The calculator thinks a fractional index is acceptable.
Side notes:
• How about a negative index? This will deal with the reciprocal of the fractional exponent.
While this is possible, it is not considered to be a "standard radical expression".
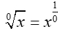
• How about a zero index? Now, we have a problem. A zero index is NOT possible since it allows for division by zero:
