|
The following properties (rules) are used when working with radicals of all indices.
Let x and y be real numbers, variables, or algebraic expressions that yield real numbers,
and let m and n be positive integers.
Properties of Radicals (Rules):
"For radicals with an even index, assume all variables represent positive values and the radicand is non-negative."
Property (Rule): |
Symbolism: |
In plain English ... |
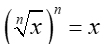
Root to the Root Power
(Inverse) |
 |
An n-root radical raised to the n-power returns the radicand (the inside). [Tthe inverse property for roots and powers.] |
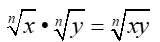
Product Rule |

|
When multiplying, and the roots, n, are the same, keep root, multtply inside. |
Quotient Rule |
 |
When dividing, and the roots are the same, keep the index and divide the values inside. |
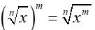
Radical to a Power |
 |
When raising a radical to a power, keep the index, and raise the inside to the power. |
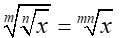
Root of a Root |
 |
When taking the root of a root, multiply the indices, and keep the radicantd. |
Even Root Rule |
 |
For even roots, the root raised to the same power = absolute value of the inside. This keeps only 1 positive root as the solution (principal root).. |
Odd Root Rule |
 |
For odd roots, the root raised to the same power gives the inside radicand.
It is the inverse property at work. |

NOTE: The re-posting of materials (in part or whole) from this site to the Internet
is copyright violation
and is not considered "fair use" for educators. Please read the "Terms of Use". |
|
|