|
Directions: On this page, all variables will be considered positive (not zero). Choose the best answers.
1. |
 |
|
|
|
2. |
What is the value of 4x½ + x0 + x-¼, when
x = 16?
|
|
Choose:
|
|
3. |
If f (x) = x-1/3, what is f (64)? |
|
|
|
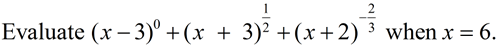
4. |
Find the value of  . |
|
|
|
5. |
Which choice is equivalent to  ? |
|
|
|
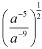
6. |
Which choice is equivalent to  ?
|
|
|
|
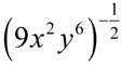
7. |
Which choice is equivalent to  ?
|
|
|
|
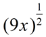
8. |
Which of the following expressions are equivalent to ?
(Check all that apply, and hit SUBMIT!) |
|
|
 |
9. |
Which choice is equivalent to  ?
|
|
|
|

NOTE: The re-posting of materials (in part or whole) from this site to the Internet
is copyright violation
and is not considered "fair use" for educators. Please read the "Terms of Use". |
|