|
Directions: On this page, all variables will be considered positive (not zero). Choose the best answers.
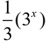
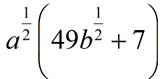
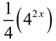
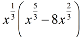
1. |
Find the expression equivalent to:

|
|
|
|
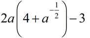
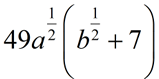
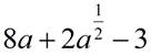
2. |
If the expression shown below

is distributed, the final answer will be

The values of a, b and c, in order, are:
|
|
Choose:
|
|
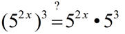
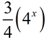
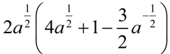
3. |
Find the choice equivalent to:  |
|
|
|
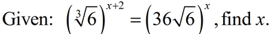
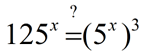
5. |
For x ≥ -½, and constant r,

What is the value of r ? |
|
|
|
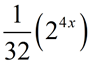
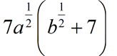
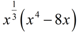
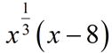
6. |
Which choice is equivalent to
 ?
|
|
|
|
8. |
Which equations are true for all values of x?
(Check all that apply, and hit SUBMIT!) |
|
|
|
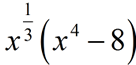
9. |
Factor:
|
|
|
|
10. |
Simplify:  |
|
|
|

NOTE: The re-posting of materials (in part or whole) from this site to the Internet
is copyright violation
and is not considered "fair use" for educators. Please read the "Terms of Use". |
|