|
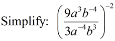
From having worked with the rules of exponents (when x is not 0), we know:
When the value of a is larger than the value of b, we arrive at the rule for a positive exponent.
|
can be interpreted
as |
|
which
illustrates
|
|
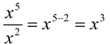
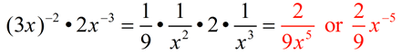
When the value of a is smaller than the value of b, we arrive at the rule for a negative exponent.
|
can be interpreted
as |
|
which
illustrates |
|
An expression with a negative power ends up
on the opposite side of the fraction bar as a positive power.

|
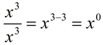
Should the values of a and b be the same, we have the rule for a zero exponent.
|
can be interpreted
as |
|
which
illustrates
|
|


NOTE: The re-posting of materials (in part or whole) from this site to the Internet
is copyright violation
and is not considered "fair use" for educators. Please read the "Terms of Use". |
|