The process of completing the square will show us
how the quadratic formula was developed
from solving a quadratic equation.
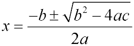
BIGformula

divider

derive1
1. Start with a quadratic equation set = 0.
derive2
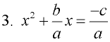
2. Move the constant to the right side.
derive3
3. Divide each term by a to get the leading coefficient to be one.
derive4
4. Get ready for a perfect square trinomial on the left side (put in the boxes).
derive5
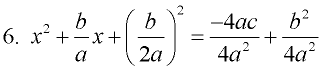
5. To find the needed value, take half of the coefficient of the x-term, derive two, and square it, derive three. Add this value to both sides of the equation (put it in the boxes).
derive6
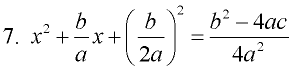
6. Square the last term on the right side. Find a common denominator on the right.
derive7
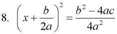
7. Combine terms on the right, placing b2 in front of -4ac in the numerator.
derive8
8. Re-write the perfect square trinomial on the left side as the square of a binomial.
derive9
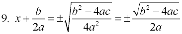
9. Take the square root of both sides. Simplify the radical on the right side.
derive10a
10. Subtract the constant away from x. Write as a single fraction on the right side.


divider

By completing the square, we discovered the quadratic formula!!

BIGformula

 

divider

NOTE: The re-posting of materials (in part or whole) from this site to the Internet is copyright violation
and is not considered "fair use" for educators. Please read the "Terms of Use".