small logo
Creating Quadratic Equations
Given the Graph
MathBitsNotebook.com

Topical Outline | Algebra 2 Outline | MathBits' Teacher Resources

Terms of Use   Contact Person: Donna Roberts
divider

If you have the graph of a parabola, can you determine the
equation of the quadratic function that created the graph?
Let's see what's possible.
bullet Graph with readable roots
1. Given the naked parabolic graph at the right, you are told that the x-intercepts and y-intercept are integer values.

Thankfully, the graph shows a scale where each displayed unit on the x and y axes represents one unit.

Since we know that the x-intercepts are integer values, we can read them off the graph to be (-3,0) and (4,0).
creategraph2qq
If the x-intercepts are (-3,0) and (4,0), we know that the roots (zeros) of the equation will be x = -3 and x = 4. Working backward, we can create the factors (x + 3) and
(x - 4) and get the equation y = (x + 3)(x - 4).
BUT... do we know for sure that there is no numeric factor in this equation? Could it be, for example, y = 2(x + 3)(x - 4), since this equation also has zeros of x = -3 and x = 4 ?
We need to check another point. The only observable point is the y-intercept (0,-12).
Since (0,-12) is on this graph, it will satisfy the equation of the graph.
Our First Equation:
y
= (x + 3)(x - 4).
-12
= (0+ 3)(0 - 4).
-12 = -12 TRUE
Possible Second Equation:
y = 2(x + 3)(x - 4)
-12 = 2(0 + 3)(0 - 4)
-12 ≠-24 FALSE
Our first equation is
the answer:
y = (x + 3)(x - 4) or
y = x2 - x - 12 .

reminder
The zeros obtained from the x-intercepts of a graph can determine the equation of a "family" of graphs. But, ONE MORE POINT is needed to guarantee a specific, individual function's equation.

bullet Graph with vertex and point
2.
Given the parabolic graph at the right, where it is known that the turning point is (2,-3) and another random point on the graph is (5,6). Write the equation of the function which created the graph.

It does not appear that the roots (zeros) of this parabola cross the x-axis at integer values, so the approach we used in the example above will not work here.
creategraph11
We will use the vertex form: y = a(x - h)2 + k. We know the vertex is (2,-3) = (h,k), so h = 2 and k = -3. If we substitute, we get y = a(x - 2)2 + (-3).
Now, what about "a" ? We know that the point (5,6) is on the graph, which means that if we substitute x = 5 into the graph's equation, we will get a y-value of 6.
y = a(x - 2)2 + (-3)
6 = a(5 - 2)2 + (-3)
6 = 9a - 3
9 = 9a
1 = a
The value for a in this problem is "1".
The equation is: y = (x - 2)2 + (-3).
beware
You cannot assume that the a-value will always be 1.


bullet Graph with 3 distinct points
3.
Given the parabolic graph at the right, where three points are given: (2,6), (1,-1) and (-3,-9). Write the equation of the function which created the graph.

The exact locations of the roots and the vertex are not clear from examining the graph.
creatgraph
We will use the quadratic form: y = ax2 + bx + c. If we substitute each point into the form for the x and y values, we will create equations containing a, b and c. We will then attempt to solve for a, b and c.
Point (2,6):   6 = a(2)2 + b(2) + c                 6 = 4a + 2b + c
Point (1,-1):   -1 = a(1)2 + b(1) + c              -1 = a + b + c
Point (-3,-9):   -9 = a(-3)2 + b(-3) + c          -9 = 9a - 3b + c

Set up the equations to solve for a, b and c. This situation is know as "three equations with three unknowns". Eliminate the c by subtraction, then solve the remaining two equations simultaneously to find the quadratic equation.
quad33
quad33b

You can read more about solving three equations with three unknowns (as seen above)
under the Polynomial section.

bullet Can you use the sum and product of the roots formulas to find an equation?
From the Nature of Roots page, we know that given the roots of a quadratic equation,
we can find an equation by using the information about the sum and product of the roots.
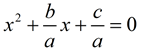
4. Determine an equation that has the solutions x = -4 and x = 3.

ax2 + bx + c = 0
backward4
Sum of roots = -b/a = (-4 + 3) = -1;    b/a = +1
Product of roots = c/a = (-4)•(3) = -12

ANSWER: x2 + 1x + (-12) = 0     or    x2 + x - 12 = 0
Remember, as we have seen in the examples above, this is ONE possible equation.

bullet Can you use the graphing calculator to create a quadratic equation?
5. When three or more points are known, the quadratic regression option on the graphing calculator can be used to create a quadratic "model" for the data.
Refer to Write Quadratic Equation given the Graph for directions on using the calculator in this situation.


hintgal
In summary: If you know the vertex and a point on a parabola, use the "vertex-form", y = a(x - h)2 + k, to write the equation of the parabola.
If you know three points on the parabola, but not the vertex, use the form y = ax2 + bx + c   to write the equation of the parabola.

divider

NOTE: The re-posting of materials (in part or whole) from this site to the Internet is copyright violation
and is not considered "fair use" for educators. Please read the "Terms of Use".