|
The next new "division" strategy we will be investigating is SYNTHETIC DIVISION.
Synthetic division is a "short-hand" version of long division for polynomials. Beware! While you will find this method faster, and easier, in certain situations, its overall usage is limited. It simply does not offer you the power that you have with long division.
Synthetic Division |
|
|
Requirements (for using Synthetic Division):
1. The divisor must be a polynomial of degree one. The exponent (on x) must be 1 (nothing else).
Such a divisor may be referred to as a linear factor.
2. The coefficient of the divisor variable, x, must be a one.
We will see an example where this coefficient is not 1, but it gets messy. |
|
|

Mantra:
(for Synthetic Division)
• Bring down ...
• Multiply and add ...
• Multiply and add ...
• Multiply and add ...
• ... |
|
|
|
|
Process:
1. Copy the coefficients from the terms in descending order. Use zeros for missing terms.
2. Find the root associated with the divisor.
3. Bring down the first coefficient.
4. Multiply the root value times the first coefficient and add it to the second coefficient.
5. Multiply the root value times this sum and add to the next coefficient.
6. Continue until the last coefficient is used.
7. Solution: The final solution uses the values in the bottom row as coefficients for the answer. Since you are dividing by a polynomial of degree 1, the degree of the solution will be 1 less than the degree of the dividend. For this problem, the answer starts with a power of 2, then a power of 1, then a power of 0 (the constant). The last value in the bottom row is the remainder and is written as a fraction. If the last value is 0, there is no remainder, and the divisor is a factor of the dividend. |
|
For (2x3 + 4x2 + 5x - 1) ÷ (x - 3), let's compare long division to synthetic division to see where the values are the same. |
Long Division |
Synthetic Division |
 |
Notice that when the "subtractions" occur in the long division, the values of -6, -30, and -105 will be positive values, matching those seen in the synthetic division.
This pattern is occurring because we are working with a divisor with a leading coefficient of one and a power of one! |

Let's take a look at a variety of examples:
|
Divide: (2x4 + 4x2 - 1) by (x -1) |
Fill in missing terms. As was done with long division, synthetic division must also fill in missing terms in the dividend. Use a zero coefficient to "hold" the spot during the division process. |
2x4 + 0x3 + 4x2 + 0x - 1 |
Copy the coefficients. Use the root associated with the divisor. Bring down, multiply and add, multiply and add, ... |
|
Solution: The coefficients of the solution are in the last row. Start with a variable of one power less than the dividend.
|
|
|
(3x3 + 17x2 + 6x - 20) ÷ (x + 5) |
Copy the coefficients. Use the root associated with the divisor. Bring down, multiply and add, multiply and add, ... |
|
Solution: Notice that there is NO remainder. This tells us that (x + 5) is a factor of (3x3 + 17x2 + 6x - 20). |
|
 |
So what happens in synthetic division,
when the leading coefficient
of the divisor is not 1? |
|
Divide:  |
First, let's get the answer by using long division so we can compare our results from the synthetic division.
This is the actual answer to this problem.
Remember, long division will always yield the correct answer (when done correctly, of course).
|
Let's see what happens if we use our regular synthetic division process, and ignore the fact that the leading coefficient of the divisor is 2 (not 1). We find the root associated with the divisor, which in this case is -½, and proceed:
This does not look like our actual answer. Is it another form of our answer, or is it
different? Let's compare the graphs of these expressions.
The original statement of the question was graphed in blue and our long division answer in red (which appears over top of the blue since it is the correct answer). The synthetic division answer appears in green and is not equivalent to our real answer.
WRONG!
|
So what went wrong?
We followed the synthetic division process, but arrived at a wrong answer.
Answer: The problem is not with the synthetic division process itself. The problem was that the leading coefficient in the divisor was not one. When we created the root associated with the divisor (
2x + 1 = 0; x = -½ ),
we divided the divisor by 2.
We literally changed the question.
|
 |
|
 |
We know that when reducing a fraction, you must divide BOTH the numerator and the denominator by the same value, to maintain an equivalent fraction.
The same is true when working with algebraic fractions.
This is what went wrong when we divided by 2!
We did not divide the numerator by 2. |
|
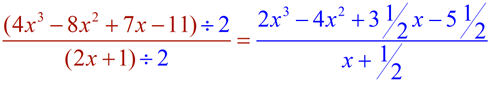
Let's try synthetic division again. But this time, we will divide BOTH the numerator and denominator by 2.

Much better! Now, we have an equivalent problem where the denominator resembles what we have seen previously in our synthetic division questions (a leading coefficient of one).
|
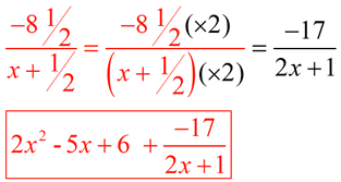
This new answer is almost a perfect match to the actual answer, but what is going on with the remainder?
This remainder is equivalent to -17/(2x + 1). Simply multiply the top and bottom by 2.

This is a match to the actual answer.
|
 |
Synthetic division can get "messy" when the divisor has a leading coefficient other than one. It will be a good idea to CHECK your synthetic division, in these situations, by using long division. This will guarantee that you always get the correct answer. Be careful when the leading coefficient of the divisor is not 1! |
|
|

NOTE: The re-posting of materials (in part or whole) from this site to the Internet
is copyright violation
and is not considered "fair use" for educators. Please read the "Terms of Use". |
|
|