In past courses, you have had a good deal of experience working with polynomial equations of degree 1 (linear) and degree 2 (quadratic). Unfortunately, when the degree of a polynomial equation increases, the equation becomes more difficult to solve. Finding the roots of an equation such as x5 + x4 - 5x3 - x2 + 8x - 4 = 0 can be a difficult task. In this course, we will just be touching the surface on techniques for solving higher degree polynomial equations. Our emphasis will be on using what we already know to help us solve new situations.
FYI: The fifth degree polynomial equation shown above factors into (x - 1)3 (x + 2)2 = 0. |
A question requiring that you solve a polynomial equation may be worded in a variety of formats.
Consider the following:
• Solve the polynomial equation P(x) = 0.
• Find the real or imaginary solutions of the polynomial equation P(x) = 0.
• Find the roots of the polynomial equation P(x) = 0.
• Find the zeros of the polynomial function P(x).
• Factor the polynomial function P(x) = 0 and express the roots.
These statements are different ways of
asking the same thing! |
 |
|
So, how many solutions (roots) does a polynomial equation possess?
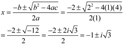
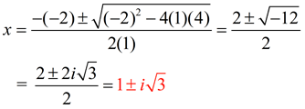
According to the Fundamental Theorem of Algebra, a polynomial of degree n will have n roots, some of which may be multiple roots (repeated roots) or complex roots (conjugate pairs).
For example, x5 + x4 - 5x3 - x2 + 8x - 4 = 0 is a polynomial of degree 5 (highest power) and as such will have 5 roots. This equation factors to (x - 1)3 (x + 2)2 = 0.
There are actually five factors: (x - 1)(x - 1)(x - 1)(x + 2)(x + 2) = 0.
The factor of (x - 1) has a multiplicity of 3.
The factor of (x + 2) has a multiplicity of 2.
While there are five roots, x = 1, x = 1, x = 1, x = -2, and x = -2, we can see
that the root x = 1 is repeated three times and x = -2 is repeated twice.
It is customary to say that the solution is simply 1 and -2.

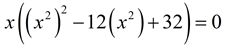
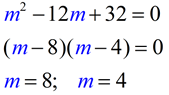
Let's take a look at some strategies for solving higher degree polynomial equations.