Practice Page
Directions: Solve these polynomial equations for the indicated variable.

1.
Solve:  -8b3 - 18b2 - 4b = 0   

Choose:
b = 0; b = -¼; b = -2 b = 0; b = -½; b = -2
b = 0; b = ¼; b = -2 b = 0; b = ½; b = -2
poeq3

 

 

2.
a) How many unique solutions will the equation
9a4 + 36a2 = 18a3 possess?
Choose:
1
2
3
4

b) Find the solutions.

Choose:
D2a E2b
E2c E2d
poeq7

 

 

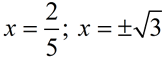
3.
Solve:  x4 - 85x2 + 324 = 0 

Choose:
x = ± 2; x = ±3 x = ± 4; x = ±9
x = ± 2; x = ±9 x = ± 4; x = ±81
poeq5

 

 

4.
Find all of the zeros of the polynomial function P(x):
P(x) = x5 - 6x3 + 5x
 

Choose:
E3a E3b
E3c E3d
PE10

 

 

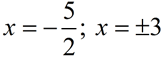
5.
Solve:   m3 + 2m2 - 16m - 32 = 0

Choose:
2; ±4 -2; ±4
-2; ±6 2; ±6
poeq4

 

 

6.
Solve:  x4 + 3x3 - 27x = 81

Choose:
±3;   ±9 E6b
eqnew6 E6d
poeq9

 

 

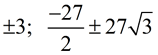
7.
Solve: a4 - 16 + (a2 - 4)2 = 0   

Choose:
0, ±4
0, 2, ±4
0, ±2 guy7
poe12

 

 

8.
Given: (a + b)(a2 + 2ab + b2) = 125
What is the value of (a + b)? 


Choose:
2
3
5
25
poeq6

 

 

9.
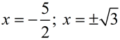
Solve:  2x3 + 5x2 - 6x - 15 = 0   

Choose:
groupbb groupc
groupaaa groupd
POEQ1

 

 

10.
Solve:    a3 + 3a2 - 4a = 12   

Choose:
a = ±3; a = 4 a = ±2; a = 3
a = ±3; a = -4 a = ±2; a = -3
poeq8b


 

divider

NOTE: The re-posting of materials (in part or whole) from this site to the Internet is copyright violation
and is not considered "fair use" for educators. Please read the "Terms of Use".
m