refresher
bullet Dividing a Polynomial by a Monomial:

statement
When dividing a polynomial by a monomial,
divide EACH
term of the polynomial by the monomial.
Remember to use the quotient rule for exponents. arrow
divmonruleex

reminder
When dividing a polynomial by a monomial, the
number of terms in the polynomial equals the number of terms in the answer.
hint gal
When dividing by a monomial, numbers (or expressions)
do not "cancel" and disappear
!
A number (or expression) divided by itself equals one.

expin1
ex1

dmex1


Another way of looking at "dividing by a monomial" is multiplying by the reciprocal of the monomial. See Example 2.

expin2
dmex22a


divider

bullet Dividing a Polynomial by a Binomial: (factorable situations only)

statement
When dividing a polynomial by a binomial, FACTOR completely both the numerator and denominator (the dividend and divisor) before reducing. Reduce the greatest common factors from the numerator and denominator.


reminder
The terms in a binomial cannot be separated from one another when reducing. For example, in the binomial 4x - 1, the 4x cannot be reduced by itself. You must reduce the entire expression 4x - 1.

expin3
ex3

dmex3





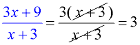
Factor the numerator.
Reduce the common factor of x + 3.

expin4
ex4

dmex4


 

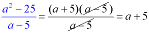
Factor the numerator.
Reduce the common factor of a - 5.


expin5
ex5

dmex5

 

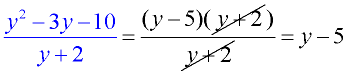
Factor the numerator.
Reduce the common factor
y + 2.


expin6
ex6

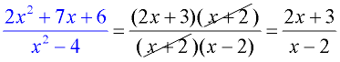
dmex6


Factor the numerator.
Factor the denominator.
Reduce the common factor of x + 2.


beware
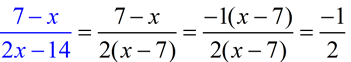
Sneaky one!!

expin7
polyF1

polyF2
7 - x and x - 7 are "almost" the same, except that the signs of the terms are opposite one another. To create a situation that will allow for reducing, factor out -1 from one of these binomials.

 

divider

NOTE: The re-posting of materials (in part or whole) from this site to the Internet is copyright violation
and is not considered "fair use" for educators. Please read the "Terms of Use".