|
Directions: Read carefully. Choose the best answers.
1. |
True or False: The inverse of the function
f (x) = {(2,3), (7,5), (3,4), (-1,3)}
will be a function?
|
|
|
|
Choose:
|
|
2. |
The diagram at the right shows the graph of f (x) = x2.
True or False: The inverse of this function will be a function.
|
|
|
|
|
3. |
Find the inverse of the function
y = 4x + 12.
|
|
|
|
Choose:
|
|
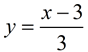
4. |
Find the inverse of the function
|
|
|
Choose:
|
|
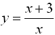
5. |
Assuming x ≠ 0, find the inverse of the function  .
|
|
|
Choose:
|
|
7. |
The natural logarithmic function is the inverse function of the exponential function. Since the point (0,1) lies on the exponential function, we know that the point _____ lies on the logarithmic function.
|
 |
|
|
Choose:
|
|
8. |
Using composition of functions, show that
f (x) = 2x - 3 and g(x) = 0.5x + 1.5 are inverse functions.
|
|
|
|
9. |
Given f (x) = 10e2x.
a) Find the inverse, f -1(x).
b) Based upon your answer to a, find the value of x when f (x) = 8.
|
|
|
10. |
What is the inverse of the function a(x) = | x + 2 | for x > -2 ?
|
|

NOTE: The re-posting of materials (in part or whole) from this site to the Internet
is copyright violation
and is not considered "fair use" for educators. Please read the "Terms of Use". |
|