|
Directions: Read carefully. Choose the best answers.
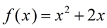
1. |
Given f (x) = x2 + 3x + 4, find f (-4). |
|
|
|
2. |
Which expression represents f (3a) when f (x) = | 2x2 - 3x | ? |
|
Choose:
|
|
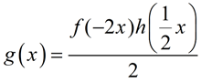
3. |
Given f ( x) = x2 and h( x) = 4 x, which expression represents g( x) when g( x) is defined as:

|
|
|
|
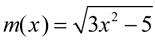
4. |
Given , find m(2a + 1). |
|
|
|
5. |
Given f (x) = 3x2 - 2x, express f (x + h).
|
|
|
|
6. |
Given h(x) = x3 and k(x) = x + 3, find . Assume k(a) ≠ 0. |
|
|
|
7. |
If m(x) = | 4 - x | and p(x) = x + 2, express
t(3a + 2) when t(x) = 4m(x) - 2p(x). |
|
|
|
8. |
Given: Find: f (-5) and f (2.5). |
|
|
|
10. |
Given f (x) = 2-x, express f (-(x + 1)) • f (-3x). |
|
|
|

NOTE: The re-posting of materials (in part or whole) from this site to the Internet
is copyright violation
and is not considered "fair use" for educators. Please read the "Terms of Use". |
|