At times, finding the domain of a composite function can be confusing and difficult to understand. There may be hidden obstacles that prevent certain values from completing their trips through a composition, thus eliminating theses values as possible domain elements. The composition of certain rational functions, for example, may present internal "obstacles" for certain domain values. Let's examine what happens to values as they "travel" through a composition of rational functions.
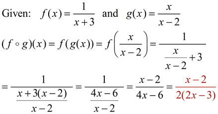
Consider the following example:

 |
When working with rational functions, domain elements must not create division by zero. |
So, we know that the domain of f (x) cannot contain -3 and the domain of g (x) cannot contain +2. |
|
Visual Interpretation of this example:

The domain of a composition will be those values which can "move through" to the end of the composition. The "obstacle" is whether all of the values created by g(x), in this case, can be "picked up" by function f (x).

Algebraic Interpretation of this example:
1. Function g(x) cannot pick up the value +2 since it creates a zero denominator. Consequently, the composition also cannot pick up the value of +2.
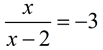
2. The answers coming out of function g(x) come out in the form .
Since function f (x) cannot pick up -3, we must lookout for any values of x that cause since these values create an answer that cannot progress through the composition (they cannot be pickup up by f (x)).
3. When does ?
|
Solve algebraically.
Since the value of 1.5 will create an answer of -3 from function g(x), and we know that -3 cannot be picked up by f (x), the value x = 1.5 must be excluded from the domain of the composition. |
4. The domain of will be all real numbers with the exclusion of 2 and 1.5.
Notice that -3 is not excluded from the domain. The value x = -3 makes it through the composition very nicely because its answer from function g(x) is
3/5 which is then picked up by function f (x).

Is there a fast and easy way to find the domain of a composition? |
When you determine the domain of a composition, you must of course consider any restrictions on the starting function. If a value cannot get through the starting function, it cannot get through the composition. But what about additional restrictions?
If you find the composition of the two functions algebraically, you can examine your algebraic answer to determine any additional restrictions on the domain of the composition.
|
The algebraic expression for this composition (the final answer), shows us that x = 1.5 would not be an acceptable domain element since it creates a zero denominator.
Setting 2(2x - 3) = 0 shows x = 1.5.
Remember that you must also consider any restrictions on the domain of the starting function, which in this case is g(x) which cannot accept x = 2. |
Final solution: The domain of the composition is all real numbers with the exclusion of 2 and 1.5.

|
For calculator help with
composition
of functions
click here. |
|

NOTE: The re-posting of materials (in part or whole) from this site to the Internet
is copyright violation
and is not considered "fair use" for educators. Please read the "Terms of Use". |
|