|
The term "composition of functions" (or "composite function") refers to the combining together of two or more functions in a manner where the output from one function becomes the input for the next function.
Mathematically speaking, the range (the y-values) of one function becomes the domain
(the x-values) of the next function.
The notation used for composition is:
and is read "f composed with g of x"
or " f of g of x". |
Notice how the letters stay in the same order in each expression for the composition.
The letters f (g(x)) tell you to start with the function g (always start with the function in the innermost parentheses). |
|
|
If you become confused as to where to start when you see the notation  , start by rewriting the notation to be f ( g( x)). Then you can see that you need to start with the innermost parentheses, which in this case will be function g.
|
 |
When dealing with composition ...
|
 |
Always start with the function
on the right! |
|
Composition of functions can be described as a series of "picking up" and "dropping off". A function picks up x, does something to it, and drops it off. Then another function comes along and picks up the drop off, does something to it, and drops it off again. This pattern may continue over several functions.
You can think of composition as a series of taxi cab rides. Person x is picked up by the first taxi function, transported to a location, and dropped off. Then another taxi function comes along and picks up person x at this new location, transports person x to another new location, and drops person x off.
Visual Example:
Take a look at the picture below which shows how functions f and g work together to create a composition . The starting domain for function g is limited to the values 1, 2, 3, and 4.


Under the composition in this example, the following ordered pairs (x,y) are created:
(1,3), (2,5), (3,7), and (4,9).
Now, suppose we wish to write this composition as an algebraic expression.
|
1. Substitute the expression for function g (the 2x) for g(x) in the composition. This will clearly show you the order of the substitutions that will need to be made.
2. Now, substitute the expression 2x into function f in place of its x-value. Perform any needed simplifications (none needed in this example). |

The concept of composite functions is actually widely used.
You have already been using composition of functions when entering
certain expressions into your calculator. |
|

Evaluate:

|
Consider the problem at the left. When entering this computation into a calculator, you will press the button to square a value and the button to raise a value to a power (exponentiation). These buttons represent the functions of squaring and exponentiation. You are doing a composition of functions. The problem could be represented as:
 , evaluated at x = 3.6
where f ( x) = πx and g( x) = x2.
(The order of entry will vary depending upon the model of calculator.)
|

Algebraic Examples:
1. Given f (x) = 5x + 1 and g (x) = 3x - 2.
 |
Solution:



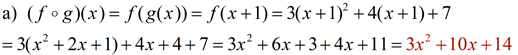
2. Given f (x) = 3x2 + 4x + 7 and g (x) = x + 1.
 |
Solution:



3. Given f (x) = x2 - 1 and g (x) = 3x + 2.
 |
Solution:





4. Given f (x) = x2, g (x) = x - 1 and h (x) = ½ x.

|
Solution:



|
For calculator help with
composition
of functions
click here. |
|

NOTE: The re-posting of materials (in part or whole) from this site to the Internet
is copyright violation
and is not considered "fair use" for educators. Please read the "Terms of Use". |
|