Practice Page
Directions: Read carefully. Choose the best answers.

1.
Given f (x) = x2 - 1 and g(x) = 5x2+ 2, find:
 
a) (f +g)(1)
Choose:
 
6
 
7
 
8
 
9
b) (f - g)(-2)
Choose:
 
-19
 
-16
 
-8
 
-3
c) (f • g)(0)
Choose:
 
1
 
2
 
-1
 
-2
d) (f / g)(2)
Choose:
 
5/22
 
3/22
 
2/21
 
1/12

 

 

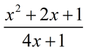
2.
alfunc
 
a) (f +g)(2)
Choose:
 
0
 
1/2
 
9/8
 
2
b) (f - g)(1)
Choose:
 
½
 
 
¼
 
c) (f • g)(-1)
Choose:
 
1/8
 
undefined
 
0
 
-1/2
d) (f / g)(0)
Choose:
 
1/2
 
1/4
 
2
 
undefined

 

 

3.
Functions f (x) and g(x) are defined as shown in the tables at the right. Use the tables to determine the following functions, in the order listed:
(f + g)(1); (f • g)(2); (g - f)(3)
x
1
2
3
4
f (x)
12
-18
34
10
 
x
1
2
3
4
g(x)
-4
8
4
12
Choose:
 
8; -26; 30
8; 144; 30
 
8; -144; -30
8; 144; -26

 

 

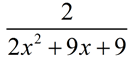
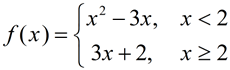
4.
algfunc4b
 
Choose:
 
alf4b
alf4c
 
alf4d
5new



5.
Given f (x) = 3x2 and g(x) = 2x - 5,
express (f + g)(x + 3).
f+g

Choose:
 
3x2 + 20x + 28
 
3x2 + 2x + 7
 
3x2 + 8x + 10
 
3x2 + 8x + 7

 

 

6.
afgraph1afgraph2
The graphs shown above appear on the interval [-6,6] with line segments connecting designated points whose x and y values are integers. Using these graphs, find the values of the following four expressions in the order they are listed:
(f + g)(2);     (f • g)(-4);     (f - g)(4);     (g / f)(0)
 
Choose:
 
3; 2; 1; -10
3; 2; 3; -1
 
-1; 2; -7; -1
-1; 2; -1; -1

 

 

7.
If m(x) = | 4 - x | and p(x) = ln(x) - 2,
express (m - p)(1).
brain

Choose:
 
1
3
5
4

 

 

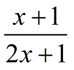
8.
Given: pf   and  g(x) = x2 - 1
Express (f • g)(5).
 

Choose:
 
240
408
 
600
970

 

 

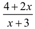
9.
guy1
holeguy
Choose:
 
guyb
guyc
 
guya
guyd

 

 

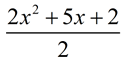
10.
10aa
 

Choose:
 
a2 + 9
a2 - 9
 
1-a
10b



divider

NOTE: The re-posting of materials (in part or whole) from this site to the Internet is copyright violation
and is not considered "fair use" for educators. Please read the "Terms of Use".