|

An exponential function with base b is defined by f (x) = abx
where a ≠0, b > 0 , b ≠1, and x is any real number.
The base, b, is constant and the exponent, x, is a variable.
In the following example, a = 1 and b = 2.
 |
x |
y = f (x) |
-2 |
2-2 = ¼ |
-1 |
2-1 = ½ |
0 |
20 = 1 |
1 |
21= 2 |
2 |
22 = 4 |
3 |
23 = 8 |
|
Shape: Most exponential graphs will have this same arcing shape.
Rate of Change:
This graph does not have a constant rate of change, but it has constant ratios. It is growing by common factors over equal intervals. |
Features (for this graph):
• the domain is all Real numbers.
• the range is all positive real numbers (not zero).
• graph has a y-intercept at (0,1). Remember any number to
the zero power is 1.
• when b > 1, the graph increases. The greater the base, b,
the faster the graph rises from left to right.
• when 0 < b < 1, the graph decreases.
• has an asymptote (a line that the graph gets very, very close
to, but never crosses or touches). For this graph the
asymptote is the x-axis (y = 0).
|
|
As x increases by +1,
y increases by x 2.
|
|
|
|
|
More Examples of Exponential Functions:
 Graph with 0 < b < 1.
Each time x in increased by 1, y decreases to ½ its previous value. |
 Compare graphs with varying b values.
Notice that all three graphs pass
through the y-intercept (0,1). |

In word problems, you may see exponential functions drawn predominantly in the first quadrant. |
Exponential Function - Transformation Examples:
 Horizontal Translations.
Notice the points (0,1), (3,1), (-3,1). |
 Vertical Shift up 3 units.
Notice y-intercept at (0,4) and
asymptote at y = 3. |

Vertical Stretch/Shrink. Notice
y-intercepts at (0,1), (0,3), (0,½).
which relate to formula's " a" value. |

We have seen that exponential functions grow by common factors over equal intervals. As such, exponential functions are used to model a wide range of real-life situations (such as populations, bacteria, radioactive substances, temperatures, bank accounts, credit payments, compound interest, electricity, medicine, tournaments, etc.).
Any quantity that grows (or decays) by a fixed percent at regular intervals is said to possess exponential growth or exponential decay.
In exponential growth, the quantity increases,
slowly at first, and then very rapidly. The rate of change increases over time. The rate of growth becomes faster as time passes. This rapid growth is what is meant by the expression "increases exponentially". |

In exponential decay, the quantity decreases very rapidly at first, and then more slowly. The rate of change decreases over time. The rate of decay becomes slower as time passes. |
We will be looking at the following two function formulas which can be easily used to illustrate the concepts of growth and decay in applied situations. If a quantity changes by a fixed percent at regular intervals, the pattern can be depicted by these functions.
Exponential Growth:
y = a(1 + r)x |
|
Exponential Decay:
y = a(1 - r)x |
|
Remember that our original exponential formula was y = abx.
You will notice that in these new growth and decay functions,
the b value (growth factor) has been replaced either by (1 + r) or by (1 - r).
The growth "rate" (r) is determined as b = 1 + r.
The decay "rate" (r) is determined as b = 1 - r
a = initial value (the amount before measuring growth or decay)
r = growth or decay rate (most often represented as a percentage and expressed as a decimal)
x = number of time intervals that have passed |
Example 1: A common example of exponential growth deals with the growth of bacteria. Bacteria have the ability to multiply at an alarming rate, where each bacteria splits into two new cells, doubling the number of bacteria present. Let's start with one bacteria which can double every hour. How many bacteria will be present after 8 hours?
End of the hour: |
1 |
2 |
3 |
4 |
5 |
6 |
7 |
8 |
Bacteria present: |
2 |
4 |
8 |
16 |
32 |
64 |
128 |
256 |
Pattern: |
21 |
22 |
23 |
24 |
25 |
26 |
27 |
28 |
Note: While there are only 256 bacteria after 8 hours, there will be over 16 million bacteria after 24 hours.
 |
The pattern tells us that this situation can be
represented by y = 2x.
Using the growth formula we have y = a(1 + r)x
where a = 1 (we start with 1 bacteria),
and r = 100%, since the amount doubles.
y = 1(1 + 1.00)x = 2x. (same result)
Notice that the graph is a scatter plot.
You cannot have a fractional part of a bacteria.
The dotted line is the exponential function which contains the scatter plots (the model).
|
Note: In reality, exponential growth cannot continue indefinitely. Eventually, there would come a time when there would no longer be space or nutrients to sustain the bacteria. Exponential growth refers to only the early stages of a process and to the speed of the growth.

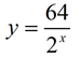
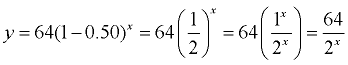
Example 2: The NCAA Basketball Championship (also known as March Madness) is an example of exponential decay. At each round of the tournament, teams play against one another with only the winning teams progressing to the next round. In other words, the number of teams playing at each round is half of the number of teams playing in the previous round. Let's start with 64 teams going into round 1. How many teams are left to begin play in round 5?
Round: |
1 |
2 |
3 |
4 |
5 |
Number of teams left playing at end of round: |
32 |
16 |
8 |
4 |
2 |
Pattern: |
64/21 |
64/22 |
64/23 |
64/24 |
64/25 |
 |
The pattern tells us that this situation can be represented by .
Using the decay formula we have y = a(1 - r)x where a = 64 (starting with 64 teams),
and r = 50%, since the number of teams are cut in half each round.
(same result)
At the end of the fourth round, the tournament will be entering the "Final Four" stage,
with only four teams remaining to play. |

NOTE: The re-posting of materials (in part or whole) from this site to the Internet
is copyright violation
and is not considered "fair use" for educators. Please read the "Terms of Use". |
|