|
Directions: Read carefully and choose the best answers.
1. |
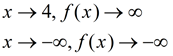
Which of the following choices describes the end behavior of the function shown below?

|
|
|
|
2. |
The statement y = log5 x is equivalent to ... |
|
Choose:
|
|
3. |
The graph of y = log7 x ...
|
|
|
|
4. |
Find the range of y = log(x) + 3. |
|
|
|
5. |
The domain of f (x) = log x is ... |
|
|
|
6. |
Consider the graph of y = ln(x) with the limited domain (0, 10]. What is the maximum value of the function on this interval? |
|
|
|
7. |
The statement f (x) = log3 x is equivalent to ... |
|
|
|
8. |
Find the domain of f (x) = ln(x + 3). |
|
|
|
9. |
Given f (x) = e3ln(x).
Find the value of f (2). |
|
|
|
10. |
The graph of f (x) = logb x
is shown at the right. Which statement must be true about b? |
|
|
|
11.
|
Which statement about the graph of f (x) = log9 x is false ?
|
|
|
Choose:
|
|
12.
|
Which of the following is true regarding the
x-intercepts of the functions f ( x) and g( x) ?
f (x) = log(x - 2)
|
x |
g(x) |
-2 |
12 |
-1 |
9 |
0 |
6 |
1 |
3 |
2 |
0 |
|
|
Choose:
|
|
13. |
The graph of the inverse of y = 3x is shown at the right. Which of the choices represents this graph? |
|
|
|

NOTE: The re-posting of materials (in part or whole) from this site to the Internet
is copyright violation
and is not considered "fair use" for educators. Please read the "Terms of Use". |
|