|
Directions: Read carefully. Choose the best answers.
Answers are expressed to 3 decimal places when needed.
1. |
The expression log9 81 is equivalent to ... |
|
|
|
2. |
Write 45 = 1024 in logarithmic form. |
|
Choose:
|
|
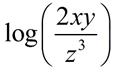
4. |
Using the properties of logs, write in complete expanded form:

|
|
|
|
5. |
Calculate:  |
|
|
|
6. |
Write in expanded form: ln[(x - 4)(2x + 5)2] |
|
|
|
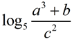
7. |
Write in condensed form (as a single logarithm):
3log5a + log5b - 2log5c |
|
|
|
8. |
If ln 2 = 0.693, find ln .
(Do not use your calculator.) |
|
|
|
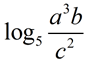
9. |
Simplify:  |
|
|
|
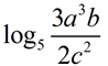
10. |
The logarithmic expression can be rewritten as: |
|
|
|

NOTE: The re-posting of materials (in part or whole) from this site to the Internet
is copyright violation
and is not considered "fair use" for educators. Please read the "Terms of Use". |
|