Practice Page
Directions: Read carefully and choose the best answers.

1.
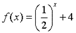
Which of the following choices describes the end behavior of the function shown below?
mp1
sweaterguy2
Choose:
 
mpc
mp1b

 
mp1a
mpd

 

 

2.
Given the function f (x) = 4-2x. What is the percent rate of change?
vestguy

Choose:
 
4%
400%
 
6.25%
93.75%

 

 

3.
The graph of f (x) = 2x ...
thinkguy2
Choose:
 
intersects the x-axis.
 
intersects the y-axis.
 
intersects both axes.
 
intersects neither axis.

 

 

4.
Given the graph shown at the right, find an exponential function to represent this graph.

blankgridprac
Choose:
 
f (x) = 2(2)x
 
f (x) = 2(1/2)x
 
f (x) = 4(1/2)x
 
f (x) = 4(2)x



5.
The domain of f (x) = 7x is ...
greenshirtguy

Choose:
 
all positive real numbers
 
all reals less than zero
 
all reals greater than one
 
all real numbers

 

 

6.
Consider the graph of y = ex with the limited domain [-4,4]. What is the maximum value of the function on this interval?
scaredguy
Choose:
 
1
e
 
e2
e4

 

 

7.
The graph at the right shows a function of the form f (x) = bx.
Which statement must be true
about b?

pracgraph8
Choose:
 
b > 1
 
0 < b < 1
 
b < 0
 
b < -1

 

 

8.
Given f (x) = e3x.
Find the value of ln(f (-1)).
handsupguy

Choose:
 
1
-1
 
3
-3

 

 

9.
The table below shows values from an exponential function of the form f (x) = abx. Which of the following equations may be represented by this table?

practable

Choose:
 
f (x) = 24(2)x
f (x) = 12(2)x
 
f (x) = 2(2)x
f (x) = 4(2)x

 

 

10.
A vertical shift of the graph of y = ex changes the horizontal asymptote. What is the equation of the horizontal asymptote of the graph of y = ex+ 3?
guyhandback

Choose:
 
x = 3
y = -3
 
x = -3
y = 3

 

 

11.
Given the graph of an increasing exponential function.
a) If the equation for the graph is written as y = abx, describe what is known about the values of a and b.
Choose:
 
(a, 0) = x-intercept; b is greater than 0 and represents the growth factor 1 + r (where r = rate of growth)
 
(a, 0) = x-intercept; b is greater than 0 and represents the growth factor 1 - r (where r = rate of growth)
 
(0, a) = y-intercept; b is greater than 0 and represents the growth factor 1 + r (where r = rate of growth)
 
(0, a) = y-intercept; b is greater than 0 and represents the growth factor 1 - r (where r = rate of growth)
 

b)
If the equation for the graph is written as y = aekx, describe what is known about the values of a and k.
Choose:
 
(a, 0) = x-intercept; k is greater than 0 and represents the growth factor
 
(a, 0) = x-intercept; k is greater than 0 and represents the rate of growth; ek= growth factor
 
(0, a) = y-intercept; k is greater than 0 and represents the growth factor
 
(0, a) = y-intercept; k is greater than 0 and represents the rate of growth; ek = growth factor

 

divider

NOTE: The re-posting of materials (in part or whole) from this site to the Internet is copyright violation
and is not considered "fair use" for educators. Please read the "Terms of Use".