Practice Page
Directions:
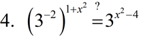
Decide whether the following statements are TRUE or FALSE. Check your answer when finished. Assume any variables represent a positive quantity.

Are these simplifications correct?

     
 
sp1
TRUE
FALSE
 
sp2
TRUE
FALSE
 
express3N
TRUE
FALSE
 
express4N
TRUE
FALSE
 
sp5
TRUE
FALSE

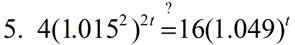
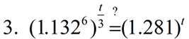
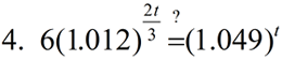
Are these expressions correctly re-written in abt form?
Rounding is occurring to 3 decimal places.

     
 
Look carefully!
 
 
bg1
TRUE
FALSE
 
bg2
TRUE
FALSE
 
bg3
TRUE
FALSE
 
ng4
TRUE
FALSE
 
bg5a
TRUE
FALSE



divider

NOTE: The re-posting of materials (in part or whole) from this site to the Internet is copyright violation
and is not considered "fair use" for educators. Please read the "Terms of Use".