An exponential equation is one in which a variable occurs in the exponent.


bullet Solution Method 1: Using a Common Base
An exponential equation in which each side can be expressed in terms of
the
same base can be solved using this property:
if bx = by, then x = y (where b > 0 and b ≠1).
If the bases are the same, set the exponents equal.

examples
 
Solve for x:
Answer
1.
eq1
Since the bases are the same, set the exponents equal to one another and solve for x:
3x - 2 = 2x + 1
x = 3
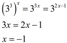
2.
eq2
27 can be expressed as a power of 3:
eq2a
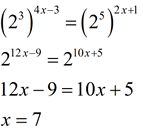
3.
eq3
Both 8 and 32 can be expressed as powers of 2:
eq3aa
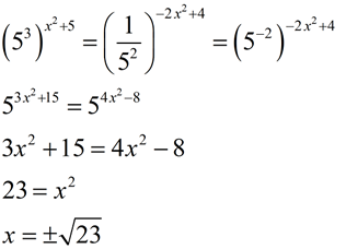
4.
fixex1
Both 125 and 1/25 can be expressed as powers of 5: fixex2


Unfortunately, not all exponential equations can be expressed in terms of a common base. For these equations, logarithms are used to arrive at a solution. (You may solve using common log or natural ln, but when working with e, use ln.)

Remember:
expo7
expo14

bullet Solution Method 2: Using logs
To solve most exponential equations:
1.  Isolate the exponential expression.
2.  Take log or ln of both sides, to set up the inverse relationship between exponentials and logarithms.
3.  Use this inverse relationship:
logax(where a > 0, a ≠1, and logaax is defined).
4.  Solve for the variable.
Things to remember
about logs:

log1
log2
examples Grab your calculator!
 
Solve for x,
to nearest thousandth:
Answer
1.
5x = 7

* Can you see how trying to get a common base for 5 and 7 would be an extremely difficult task? The log method will save us a good deal of aggravation on this problem.

Also notice that the solution can be found using either log or log5.
ex9

OR
ex81
• Take the log of both sides.
• Apply the log power rule.
• Solve for x.
• Estimate answer from calculator

 

• log base 5 can also be used as a solution method.
• notice how the log5 of 5x is really composition of inverses and yields x.
• Notice the change of base formula used at the end for the calculator.
2.
15 = 32x+1
exp15
OR
exptstt
3.
ex = 43
Since the natural log is the inverse of the natural exponential function, use ln to quickly solve this problem.
ln ex = ln 43
x = ln 43 ≈ 3.761
4.
exp22
exp23
• First, get rid of the coefficient of the exponential term (divide by 150).

• Now, proceed using ln to quickly solve.

• Do not round too quickly.  Be sure to carry enough decimal values to allow you to round to thousandths (in this case) for the final answer.
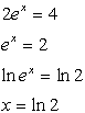
5.
exp58
expp59
• Isolate the exponential

• Take the log of both sides

• Apply the log property

• Divide by log 4

• Estimate using calculator
6.
exp62
expo63a
• First, divide by the coefficient to isolate the exponential

• Take the log of both sides

• Apply the log rule

• Divide by log 2

• Estimate answer
7.
expoo60
expo61
• Isolate the exponential
• Divide each side by the coefficient of 2
• Take ln of both sides
• Remember that ln x and ex are inverse functions.
8.
exp82
This question requires some additional thinking. Because of the differing powers of e, our previous methods will not be of much help. We will need a different strategy for this problem.
exp83

• Remember that ex • ex = e2x

• This problem is really
x2 - 4x + 3 = 0 where x = ex

• Factor

• Both solutions are answers.

ti84c

For help with exponential equations on
your calculator,
click here.

 

divider

NOTE: The re-posting of materials (in part or whole) from this site to the Internet is copyright violation
and is not considered "fair use" for educators. Please read the "Terms of Use".