Practice Page
Directions: Grab paper, pencil and calculator. If rounding is necessary, round to 3 decimal places.

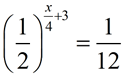
1.
Solve for x:

equ1

equation3

 

 

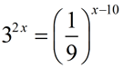
2.
Solve for x:

equ2

equation11

 

 

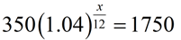
3.
Solve for x:

equ3

equation8

 

 

4.
Solve the equation:

4-x+2 = 19

equation4

 

 

5.
Solve the equation:

e2x+3 = 40

equation12

 

 

6.
Solve the equation:

8(2)x - 5 = 36

equation10

 

 

7.
Solve the equation:

12e0.34t = 50

equation2

 

 

8.
Solve the equation:

120e0.03x = 260

equation9

 

 

9.
Solve the equation:

eqan9

equation6

 

 

10.
Solve the equation:

eqan10

equation7



divider

NOTE: The re-posting of materials (in part or whole) from this site to the Internet is copyright violation
and is not considered "fair use" for educators. Please read the "Terms of Use".